6
svar
108
visningar
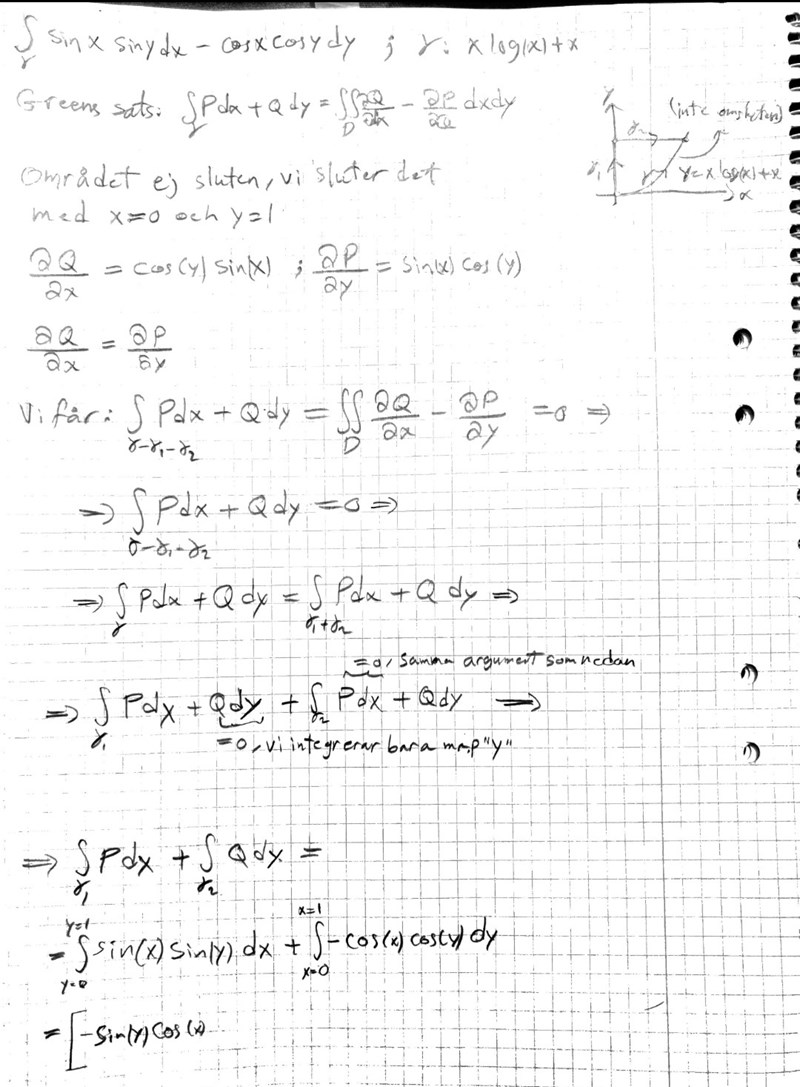
Linje integral
Jag ska integrera funktionen över linjen från 0 till 1, jag väljer att omsluta området med och men jag får att integralen blir .
Är det fel att omsluta området så eller vad gör jag för fel? Jag tänker också att man kan omsluta området med eller ?

Vad blir sista uttrycket? y = 1, så det blir inte 0.
Laguna skrev:Vad blir sista uttrycket? y = 1, så det blir inte 0.
Oooww, ok. Jag har alltså gjort rätt än så länge?
Det är nånting konstigt i mitten, ser jag nu. När du integrerar från (0,0) till (0,1) så är det bara med avseende på y, för x ändrar sig inte. Du ser ut att göra tvärtom.
Jag håller med Laguna om att detta är vad du ska beräkna:
Haha ja, jag argumenterar rätt, men markerar fel termer :/
Rätt nu?
