Linje på normalform
Har linjen x=1+3t y=2+4t z=3-7t på parameterform och vill skriva denna på normalform. Om vi endast hade haft en linje i 2D hade jag kunnat uttrycka t i y och sedan sätta in det i x samt sätta in en punkt på linjen och bestämma D. Men nu blir väl t olika pga kan uttrycka både i y och z? Så hur ska man tänka?
Hitta en vektor vars skalärprodukt med riktningsvektorn är noll, vips klart.
Precis Toovee. I har du tre möjligheter: parameterform, k-form och normalform.
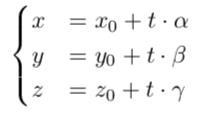
I är normalformen Ax+By+Cz+D=0 ett plan, ej en linje. Dvs linjer i planet och plan i rummet kan skrivas på normalform, men för linjer i rummet är det parameterform som gäller. Dock, det finns en lite mer ovanlig form för rymdlinjer: den parameterfria. Vi löser ut parametern t: I ditt exempel kan skrivas
Ok fattar. Men en normalvektor till linjen innehåller ju iof konstanterna A, B och C (till normalformen). Att beräkna denna och sedan sätta in punkt skulle ju ge oss en ekvation på normalform men denna skulle alltså representera det plan som linjen befinner sig i eller?
Nja, nu är du lite fel ute. Först:
Planets ekvation Ax+By+Cz+D=0.
Sedan:
Linjens ekvation

Om linjen ska ligga i detta plan, måste, efter insättning av linjens koordinater i planet, detta uttryck bli noll.