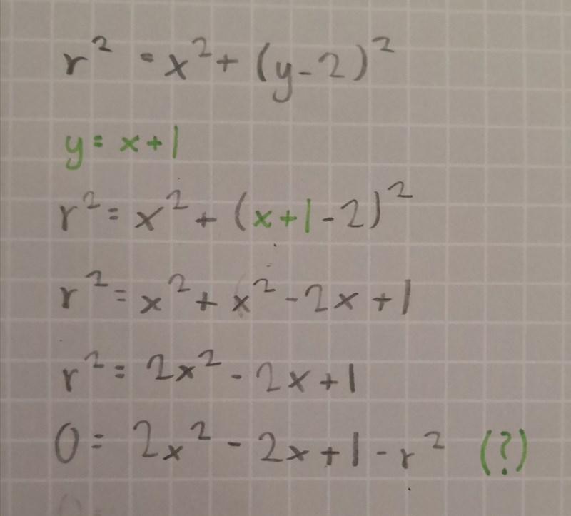
Linjen y=x+1 är en tangent till cirkeln r^2 = x^2 + (y−2)^2. Bestäm r
Hej, kan någon hjälpa mig här? Tänkte först använda pq-formen för att beräkna x men vet inte vad jag ska göra när jag ej har nåt värde på VL utan bara r^2. Kolla mina anteckningar för klargörande
Om jag inte gjort nåt fel hittills, hur fortsätter jag härifrån? Tack! 

Det är rätt så långt. Eftersom linjen ska tangera cirkeln så ska den ekvationen ha precis en lösning. Kan du välja r så att det blir så?
Laguna skrev:Det är rätt så långt. Eftersom linjen ska tangera cirkeln så ska den ekvationen ha precis en lösning. Kan du välja r så att det blir så?
Är det bara att kvadrera HL så att ?
Alternativ lösning:
En linje från cirkelns medelpunkt kommer skära linjen i en rät vinkel, vilket innebär att:
...
Noawoh skrev:Laguna skrev:Det är rätt så långt. Eftersom linjen ska tangera cirkeln så ska den ekvationen ha precis en lösning. Kan du välja r så att det blir så?
Är det bara att kvadrera HL så att ?
Nej. Lösning till ekvationen betyder att hitta x så att ekvationen stämmer. Det är en vanlig andragradsekvation i x. Använd pq-metoden och titta på vad som hamnar under rottecknet.
Alternativt kan man lösa det geometriskt. Rita.
Edit: det där heter förresten inte kvadrera. Kvadrera är motsatsen. Du har dragit roten ur.