Linjens koordinater i R^3
Jag har två linjer och som går genom origo och som definieras av villkoren
Löser jag ekvationssystemen får jag följande
Nja, för valfritt värde på z får du en punkt på linjen L1. Så linjen L1 är alltså parallell med vektorn (-1,0,1)
På samma sätt är L2 parallell med vektorn (1,1,0)
Hondel skrev:Nja, för valfritt värde på z får du en punkt på linjen L1. Så linjen L1 är alltså parallell med vektorn (-1,0,1)
På samma sätt är L2 parallell med vektorn (1,1,0)
Okej, kan man därmed räkna ut vinkeln mellan L1 och L2 med dessa koordinater och skalärprodukt?
Airin skrev:Hondel skrev:Nja, för valfritt värde på z får du en punkt på linjen L1. Så linjen L1 är alltså parallell med vektorn (-1,0,1)
På samma sätt är L2 parallell med vektorn (1,1,0)
Okej, kan man därmed räkna ut vinkeln mellan L1 och L2 med dessa koordinater och skalärprodukt?
Du kan räkna ut vinkeln med hjälp av vektorerna, ja
Hondel skrev:Airin skrev:Hondel skrev:Nja, för valfritt värde på z får du en punkt på linjen L1. Så linjen L1 är alltså parallell med vektorn (-1,0,1)
På samma sätt är L2 parallell med vektorn (1,1,0)
Okej, kan man därmed räkna ut vinkeln mellan L1 och L2 med dessa koordinater och skalärprodukt?
Du kan räkna ut vinkeln med hjälp av vektorerna, ja
Tack snälla 🙏🏼
Kan följande stämma? När jag satte in punkterna i Geogebra 3D fick jag vinkeln , men min vinkel ska väl befinna sig i 2a kvadranten, alltså bör vara korrekt?
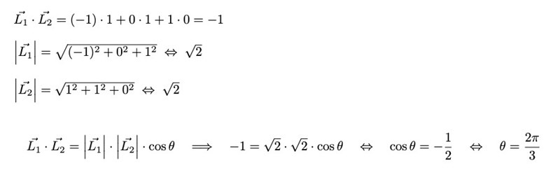
Har alltså vektorerna och och formeln för skalärprodukt ses i sista raden.

Kan det vara på detta sätt?

PATENTERAMERA skrev:Kan det vara på detta sätt?
Mycket troligt, och i såna fall har jag gjort fel någonstans i ekvationssystemen tillhörande L1 och/eller L2, vet bara inte var...
Airin skrev:PATENTERAMERA skrev:Kan det vara på detta sätt?
Mycket troligt, och i såna fall har jag gjort fel någonstans i ekvationssystemen tillhörande L1 och/eller L2, vet bara inte var...
Du har väl inte gjort fel? Det man ser i bilden är väl bara att båda alternativen på vinklar funkar. Prova att byta tecken på en av vektorerna och räkna om, då borde du får den andra vinkeln?