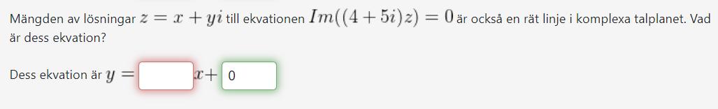
linjer z = x+yi
jag fattar ingenting av hur man ska tänka när det kommer till linjer och komplexa tal. vet att 0 är rätt nu men jag förstår inte alls varför och förstår inte vad som ska stå framför x. någon som kan förklara hur man ska tänka?

Hur kan du skriva talet (4+5i)z=(4+5i)(x+yi) som a+bi ??
Mohammad Abdalla skrev:Hur kan du skriva talet (4+5i)z=(4+5i)(x+yi) som a+bi ??
4x+5yi^2?
Visa hur du kommit fram till det.
Mohammad Abdalla skrev:Visa hur du kommit fram till det.
jag multiplicerade det i högerledet bara men vet inte om det är rätt
nuitlbd skrev:Mohammad Abdalla skrev:Visa hur du kommit fram till det.
jag multiplicerade det i högerledet bara men vet inte om det är rätt
(4+5i)(x+yi)=4x + 4yi + 5xi + 5yi2
i2=?
Hur kan du skriva detta som a+bi?
Mohammad Abdalla skrev:(4+5i)(x+yi)=4x + 4yi + 5xi + 5yi2
i2=?
Hur kan du skriva detta som a+bi?
jag kan väl skriva det som 4x + 4yi + 5xi -5y? sen vet jag inte
nuitlbd skrev:Mohammad Abdalla skrev:(4+5i)(x+yi)=4x + 4yi + 5xi + 5yi2
i2=?
Hur kan du skriva detta som a+bi?
jag kan väl skriva det som 4x + 4yi + 5xi -5y? sen vet jag inte
Sortera 4x + 4yi + 5xi -5y så att du får realdelen för sig och imaginärdelen för sig. Vad blir a respektive b om du skriver det på formen a+bi?
Smaragdalena skrev:Sortera 4x + 4yi + 5xi -5y så att du får realdelen för sig och imaginärdelen för sig. Vad blir a respektive b om du skriver det på formen a+bi?
aha så då blir a: 4x-5y och b: 5xi+4yi så man kan skriva det 4x-5y+i(5x+4y)?
nuitlbd skrev:Smaragdalena skrev:Sortera 4x + 4yi + 5xi -5y så att du får realdelen för sig och imaginärdelen för sig. Vad blir a respektive b om du skriver det på formen a+bi?
aha så då blir a: 4x-5y och b: 5xi+4yi så man kan skriva det 4x-5y+i(5x+4y)?
Precis!
När är den imaginära delen =0?