Liouvilles sats - behöver feedback och ledtrådar på sättet som jag har bevisat
Hej! Jag försöker bevisa Liouvilles sats som säger att om en funktion är hel i hela komplexa talplanet och begränsad i samma område, är funktionen konstant. Det som jag har gjort är att jag har börjat med att välja två punkter a och b som tillhör komplexa talplanet och jag har en cirkel C. r är radien i cirkeln och antar att a är medelpunkten. Sedan har jag ritat cirkeln på följande sätt

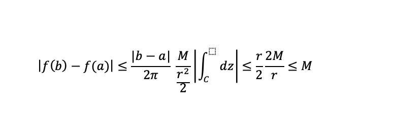
Då har jag låtit abs (z-a)=r och för att punkten b ska ligga i cirkeln måste abs (b-a)=r/2...eller? Därefter ger Cauchys integralformel

så att

Jag tar absolutbeloppet

Det är här som jag har fastnat. Är det rätt att jag har fått M? Jag vill behålla r så att jag kan säga att då r->infinty går hela uttrycket dvs r2m/2r ->0. Är det på grund av jag har valt abs (z-a)=r? Jag har räknat och fått fram att abs (z-b) måste vara större än r/2. Måste a också vara så?
Eftersom du valt a till cirkelns centrum så har du att abs(z - a) = r, då z ligger på cirkeln.
Vi har även att abs(z - b) r - abs(b-a), då z ligger på cirkeln.
Tänk på att abs(b - a) bara är en konstant, dvs ändras inte då du låter r gå mot oändligheten.
Hoppas att detta hjälper dig vidare.
PATENTERAMERA skrev:Eftersom du valt a till cirkelns centrum så har du att abs(z - a) = r, då z ligger på cirkeln.
Vi har även att abs(z - b) r - abs(b-a), då z ligger på cirkeln.
Tänk på att abs(b - a) bara är en konstant, dvs ändras inte då du låter r gå mot oändligheten.
Hoppas att detta hjälper dig vidare.
Tack! Varför är abs(z - b) ≥r - abs(b-a)? Men jag är fortfarande fast och har ingen aning om hur jag ska gå vidare, behöver liter mer förklaring.
Triangelolikheten när z är på cirkeln ger vilket implicerar och därmed . Du kan också bara titta på din bild och tänka geometriskt. Och som PATENTERAMERA skriver, är konstant eftersom att du fixerat punkterna a och b. Du kan därmed låta vara utan att estimera det.
Titta i din figur. Vilket är det minsta avståndet mellan b och cirkeln? Dra en radie i cirkeln som går genom b. Tänk på att abs(b - a) inte är någonting annat än avståndet mellan a och b.
Freewheeling skrev:Triangelolikheten när z är på cirkeln ger vilket implicerar och därmed . Du kan också bara titta på din bild och tänka geometriskt. Och som PATENTERAMERA skriver, är konstant eftersom att du fixerat punkterna a och b. Du kan därmed låta vara utan att estimera det.
Jag är fortfarande fast. Varför står det r- abs (a-b) ≤ abs (z-b)? En annan sak, ska den inte vara abs (b-a)?
PATENTERAMERA skrev:Titta i din figur. Vilket är det minsta avståndet mellan b och cirkeln? Dra en radie i cirkeln som går genom b. Tänk på att abs(b - a) inte är någonting annat än avståndet mellan a och b.
Jag tror att jag har förstått! Tack så mycket!!! Beskriver abs(f(b)-f(a)) avståndet mellan funktionerna?
Ja, abs(b-a) = .
Tänk på att .
PATENTERAMERA skrev:Ja, abs(b-a) = .
Tänk på att .
Tack! Sista frågan, hur kan jag beskriva abs(f(b)-f(a)) med ord? Alltså beskriver den bara avståndet mellan funktionerna?
Det är "avståndet" mellan funktionen f:s värden i punkterna a och b. Eftersom vi visat att detta avstånd måste var mindre än varje positivt reellt tal, så är den enda möjligheten att avståndet är noll, så att f(a) = f(b). Eftersom a och b var godtyckliga punkter i komplexa talplanet så måste f anta samma värde i alla punkter, så f är en konstant funktion.
PATENTERAMERA skrev:Det är "avståndet" mellan funktionen f:s värden i punkterna a och b. Eftersom vi visat att detta avstånd måste var mindre än varje positivt heltal, så är den enda möjligheten att avståndet är noll, så att f(a) = f(b). Eftersom a och b var godtyckliga punkter i komplexa talplanet så måste f anta samma värde i alla punkter, så f är en konstant funktion.
Tack för dina tips och förklaringar!
sisi.2121 skrev:PATENTERAMERA skrev:Det är "avståndet" mellan funktionen f:s värden i punkterna a och b. Eftersom vi visat att detta avstånd måste var mindre än varje positivt heltal, så är den enda möjligheten att avståndet är noll, så att f(a) = f(b). Eftersom a och b var godtyckliga punkter i komplexa talplanet så måste f anta samma värde i alla punkter, så f är en konstant funktion.
Tack för dina tips och förklaringar!
Notera att det skall vara mindre än varje positivt reellt tal, inte heltal. Lite trött.