4
svar
168
visningar
Exoth behöver inte mer hjälp
Lite osäker på om detta stämmer.
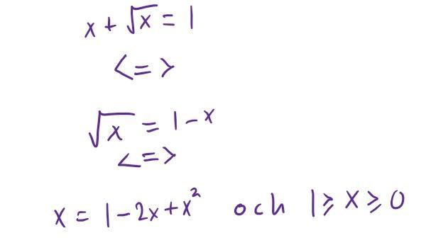
Stämmer det att här?

Ja, eftersom negativa x inte tillåts som lösning.
Om vi antar att vi endast behandlar reella tal så kan du tänka så här:
Ekvationen lyder
- Om så måste för att likheten ska gälla.
- Om så är odefinierad.
Vad ställer det för krav på ?
Sedan kan du med ett liknande resonemang fundera på om du kan ändra till >.
----------
Sedan återstår frågan om det öht finns en lösning till ekvationen, men det har du ju börjat att ta reda på genom att påbörja lösning av ekvationen. Fortsättningen kan vara kvadratkomplettering eller pq-formeln.
Ekvationen har inga icke reella komplexa lösningar https://www.wolframalpha.com/input/?i=x%2Bsqrt%28x%29%3D1+complex+solution
Den andra ekvivalenspilen är rätt med villkoret på x
Man kan skriva det som: