2
svar
58
visningar
Ljudnivå

Hej!
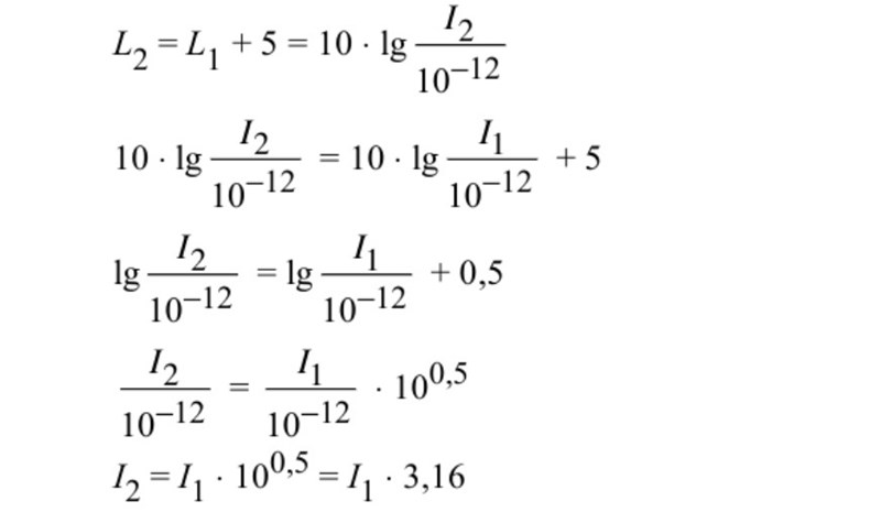
Näst sista rad ändrar man plustecknet till ett multiplikations tecken, varför?
Plugga12 skrev:
Näst sista rad ändrar man plustecknet till ett multiplikations tecken, varför?
Logaritmlagarna.
När betyder det att .
Pieter Kuiper skrev:Plugga12 skrev:
Näst sista rad ändrar man plustecknet till ett multiplikations tecken, varför?
Logaritmlagarna.
När betyder det att .
Just det! Tack så mycket