Ljudvågor
hejsan
skulle jag kunna få lite vägledning med uppgiften ?
hur ska man tänka med formlerna för ljudnivån och ljudintensitet?
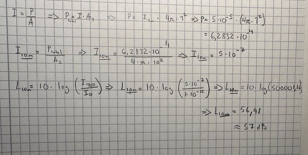
I=P/A
L=10•log(I/I0)
I0= 10-12
De där två formlerna är användbara. Du behöver fundera på vad A är när det står ”åt alla håll” i uppgiften. Ersätt A med ett uttryck som innehåller avståndet r så tror jag du kommer vidare.
Jo, A blir A=4•pi•r2
men jag har lite svårt att tolka uppgiften
ska jag först beräkna med värdet r=1 m
och sedan r=10 m
eftersom jag behöver ljudintensiteten?
Absolut!
Det är dock enklare än så. Man behöver inte räkna ut intensiteten.
Du har ett okänt IO. Låt oss säga att det är =1. Om r ökar med en faktor x10 i I=P/A, vad händer då med I?
Det ger dig en ny intensitet I för r=10.
Hur stor förändring i ljudnivå (dB) motsvarar detta förhållande i ljudintensitet?
Om A blir större så kommer I (ljudintensiteten) att minska.
Jag hänger inte riktigt med genvägen. IO är inte L0 (jämförelsekonstanten)?
är det relaterad till detta :https://sv.wikipedia.org/wiki/Inversa_kvadratlagen

Ungefär så här menade jag.
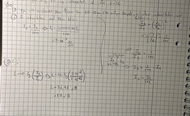
Vi kan absolut räkna via faktiska ljudintensiteter:
Vi har att L1m=77 dB och I0 är 10-12 W/m2 (hörbarhetsgränsen).
Det var precis vad du fick.
Nu kan vi nyttja att .
Det betyder att om r ökar med en faktor x10, så minskar I med en faktor x100:
Vi kan förstås räkna ut effekten genom att multiplicera med arean för en sfär med radien r=1 m och sedan dividera med arean för en sfär med radien r=10 m. Det blir precis samma sak.
Nu kan vi räkna ut den nya ljudnivån:
Det kom du också fram till.
Men! Eftersom ljudnivå bara är förhållandet mellan en ljudintensitet och en referens, så behöver vi ju inte utgå ifrån hörbarhetsgränsen 10-12 W/m2.
Vi vet att på 10 m avstånd så är ljudintensiteten 1/100 av vad den är på 1 m. Vad än I0 är så är vårt I en hundradel.
Det ger oss att L10m är -20 dB. Minus?! Vad betyder det?
Jo, givet vår referensintensitet I0 på 1 meters avstånd som vi inte räknat ut, är alltså ljudnivån på 10 meters avstånd -20 dB, alltså 20 dB lägre.
Eftersom uppgiften ger oss att den är 77 dB på 1 meter så är den 77-20=57 dB på 10 meter.
Det var bara det jag menade. Verkar det rimligt?
-så samma P används i beräkningen eftersom det är samma högtalare som avger samma totala effekt?

-i denna del av beräkningen, så används hörbarhetsgränsen 2 gånger? :
Nej, jag borde kanske ha valt något annat. Där är I0 intensiteten på 1 m håll där nivån är 77 dB. Vi behöver inte veta hur många W/m2 den är. Allt vi behöver veta är att intensiteten i täljaren är en hundradel av den.
