2
svar
107
visningar
jonte12 behöver inte mer hjälp
ln- lagar/förenkling
Jag förstår inte riktigt den här omskrivningen:
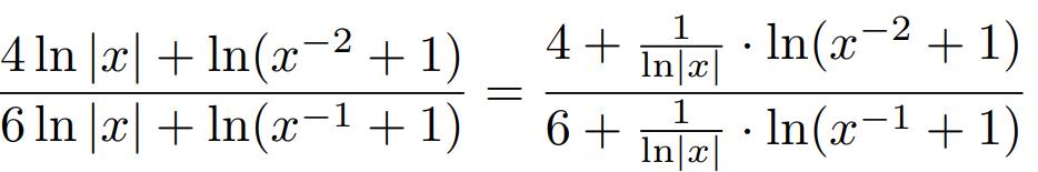
Alltså hur blir
Både täljare och nämnare har dividerats med ln|x|.
Dr. G skrev:Både täljare och nämnare har dividerats med ln|x|.
Jaha, tack!
ojdå dåligt av mig att inte se det haha