2
svar
105
visningar
Log
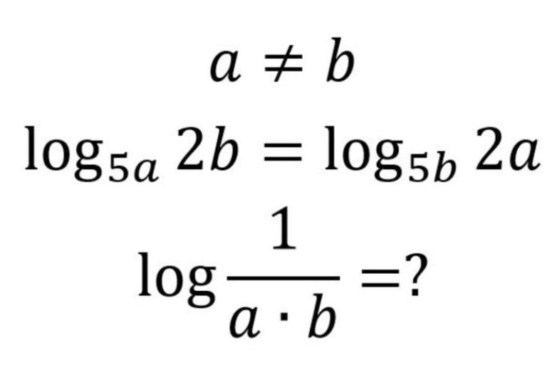
Hur kan man lösa

Är detta verkligen Ma3? /moderator
Sista raden förstår jag inte. Vilken bas har logaritmen?
Rad 2:
VL = log(2b)/log(5a)
där logaritmen har valfri bas.
HL = log(2a)/log(5b)
Likheten kan då skrivas
log(2a)*log(5a) = log(2b)*log(5b)
T.ex kan VL skrivas som ett andragradspolynom i log(a).