3
svar
75
visningar
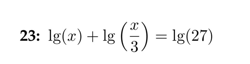
Logaritm
Hur ska jag lösa denna?
Jag vet att:
lg A + lg B = lgA*B

Vad får du om du använder den logaritmlag du skrivit?
lg(x*x/3) = lg(27)
Utmärkt! Nu kan du tioupphöja båda led:
:)