Logaritm
Hur kan man förenkla logaritmerna? Jag har börjat så här men känns lite fel
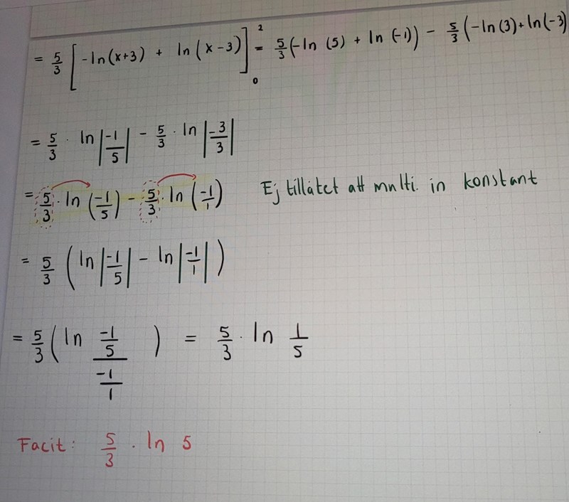
Du kan inte multiplicera in koefficienter i logaritmen som du gör i rad 3. Om du (av någon anledning) vill bli av med koefficienterna framför så blir de till exponenter i logaritmen. Däremot kan du bryta ut 5/3 och sedan använda kvotregeln.
Om absolutbeloppet, du behöver visst absolutbelopp. Gränserna är inte negativa, men x-3 blir negativt.
Jag får detta
Det kanske är fel på tecken redan tidigare. Det här ser rätt ut nu.


Jag har kollat och fått ut min primitiva funktion rätt så det måste varit något annat fel.
Varför tar du (1) - (2)? Det borde vara (1) + (2).
Skrev fel, ska vara additon. Jag slog nyss på miniräknaren:
2-ln5=-0,68239...
2+ln=-0,68239...
Så mitt svar verkar ge samma svar, men jag undrar hur jag kan få mitt exakta svar att likna facits.
ln(1/5) är ju -ln(5).
Vilken logaritmlag är det? :)
Du använder den hela tiden: ln(a/b) = ln(a) - ln(b).
Med a = 1 får du ett användbart specialfall.
Aha, tack, det var ett bra specialfall