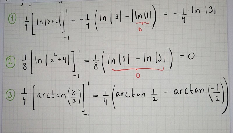
Matematik / Matte 4 / Integraler och tillämpningar 2 svar 55 visningar offan123 behöver inte mer hjälp Avmarkera offan123 3072 Postad: 12 jan 2023 21:36 Logaritm Jag behöver lite hjälp med att förenkla (3). Fermatrix 7621 – Fd. Medlem Postad: 12 jan 2023 21:38 atan(-x)=-atan(x) offan123 3072 Postad: 12 jan 2023 21:38 Aha, tack Användare skriver Svara Du behöver Logga in eller Bli medlem först! Avbryt