3
svar
149
visningar
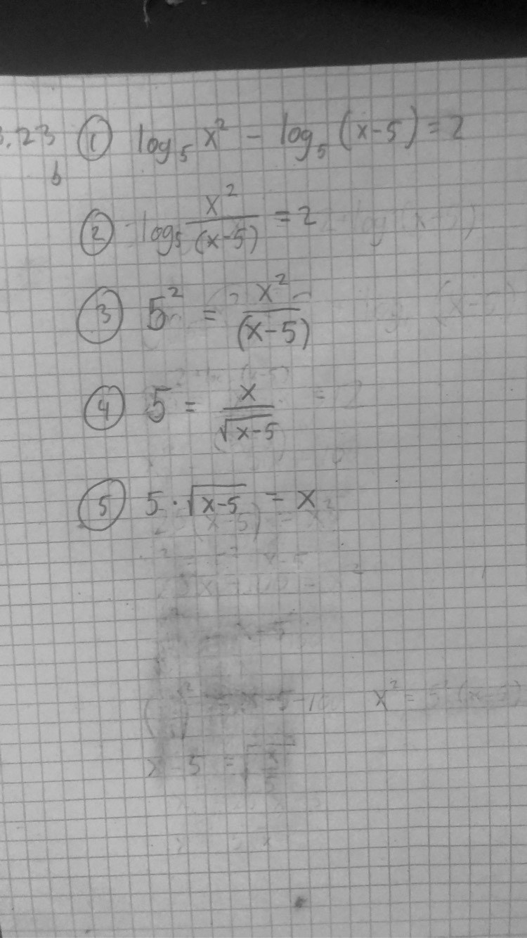
Logaritm ekvation
Förstår inte hur jag ska fortsätta, hur ska jag få ihop mina x när ena är i täljaren och andra i nämnaren?

Istället för att dra roten ur båda led vid steg 3, förläng båda led med , och utveckla VL. Vad får du? :)
Smutstvätt skrev:Istället för att dra roten ur båda led vid steg 3, förläng båda led med , och utveckla VL. Vad får du? :)
Vad ska jag göra sen?
Roten ur är inte rätt väg att ta när du har andragradsekvationer med en linjär term (dvs. x gånger någonting). Använd PQ-formeln, kvadratkomplettering eller faktorisering istället. :)