8 svar
133 visningar
offan123 behöver inte mer hjälp
offan123 3072
Postad: 12 jan 2023 16:29

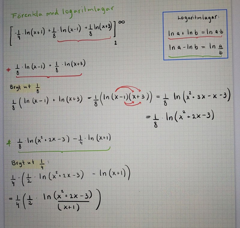
Logaritm, förenkling

Hur kan jag förenkla dessa tre logaritmer till en enda logaritm via logaritmlagarna?

Marilyn 4014
Postad: 12 jan 2023 16:36

Spontant skulle jag skriva om första termen till

– (1/8) ln (x+1)2 och sedan bryta ut en åttondel från varje term. Jag provar och återkommer.

Marilyn 4014
Postad: 12 jan 2023 16:41

Jag får samma svar som du med skillnaden att (x+1) är i kvadrat hos mig.

(1/8) ln[(x+3)(x–1) / (x+1)2 ]

offan123 3072
Postad: 12 jan 2023 16:48

Men om du bryter ut 1/8 för alla termerna, vad händer med den som har 1/4?

Marilyn 4014
Postad: 12 jan 2023 17:37

Då blir det en tvåa framför 

1/4 = 1/8 *2

Tvåan sätts i exponenten på ln-uttrycket:

(1/4) ln A = (1/8) 2 ln A = (1/8) ln A2

offan123 3072
Postad: 12 jan 2023 17:52 Redigerad: 12 jan 2023 17:58

I täljaren har jag använt logaritmregel med addition och sen utfört logaritmregel för division. Är det okej att göra som jag gör med 2:an nämnaren?

Marilyn 4014
Postad: 12 jan 2023 18:48

Nej det ser inte okej ut. Nu har du ingen logaritm för (x+1). 

Dessutom bör du ha stor parentes i täljaren [(x–1)(x+3) ] så man ser att även (x+3) ingår i logaritmen.

Skriv

(1/8) [ –2ln(x+1) + ln(x–1) + ln(x+3)] =

(1/8) [– ln(x+1)2 + ln(x–1) + ln(x+3) =

(1/8) ln [(x–1)(x+3) / (x+1)2 ]

offan123 3072
Postad: 12 jan 2023 19:27 Redigerad: 12 jan 2023 19:27

Nu hänger jag med vad du gör, du flyttar upp 2:an med den där regeln.

Sen undrar jag vad som händer med uttrycket när lim x->oändligheten? Jag vet att ln (x) går mot oändligheten när x går mot oändligheten, och om nämnaren blir väldigt stor blir allt noll?

Marilyn 4014
Postad: 12 jan 2023 19:51

Du noterar fortfarande felaktigt. ln ska stå Utanför bråkstrecket. Hela bråket beräknas först, därefter logaritmerar du.

Hela bråket det är (x2+2x–3) / (x2+2x+1)

Om du multiplicerar in 1/x2 i täljare och nämnare får du

(1+2/x –3/x2) / (1+ 2/x + 1/x2)

Låt x gå mot oändligheten. Då går bråket mot (1+0+0)/(1+0+0) = 1

ln 1 = 0

en åttondel av noll är noll.

Så övre gränsen är 0, undre gränsen är en åttondel av ln(5/9).

Integralen borde bli ≈ 0,0653

Svara
Close