Logaritm-upg
Är det sant att
Tänker att det borde vara smidigast att försöka utveckla HL.
Börjar med att skriva om roten ur som paranteser då jag tycker det känns lättare att jobba med, sen bryter jag ut e^x respekteive e^(-x) från vardera term .. känns som jag gör något jag inte får här?
För isf är måste ju x=0 då (e^x)^(1/2) = e^x <-- första termen .
Svårt att förklara i text , men hoppas någon fattar vad jag menar :) Ska jag försöka hitta en annan ingång eller är jag på rätt väg ?
(Svaret är att HL = VL)

Det du gjort hittills är tyvärr fel.
Om du bryter ut i den vänstra logaritmen blir det inte kvar i parentesen.
Jag skulle istället börja med logaritmlagen så att du får:
Förenkla nu det som står inuti den högra logaritmen och se vad du får.
AlvinB skrev:Det du gjort hittills är tyvärr fel.
Om du bryter ut i den vänstra logaritmen blir det inte kvar i parentesen.
Jag skulle istället börja med logaritmlagen så att du får:
Förenkla nu det som står inuti den högra logaritmen och se vad du får.
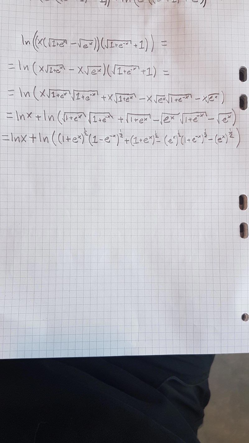
Här tar det stopp för mig

Behåll x utanför den första parentesen medan du förenklar.
Tips:
eller om man så vill:
Smaragdalena skrev:Behåll x utanför den första parentesen medan du förenklar.
Insåg det efter steg3 att jag borde gjort så från början :)
AlvinB skrev:Tips:
eller om man så vill:
Tack, både detta och det första tipset du gav borde man ju tänkt på själv , men får ändå inte ihop det.. men det känns nära nu
(Edit; såg att jag hade ett teckenfel i första bilden jag la upp i denna post, ändrat men får ändå inte ihop det)

Ett plustecken omvandlas på något sätt till ett minustecken precis innan fortsättningen, vilket ger en massa följdfel.
Dessutom gör du återigen fel när du bryter ut. Om du skall bryta ut ur blir det . Det blir även krångligare på grund av roten.
Rätta till teckenfelet och se hur långt du kommer.

AlvinB skrev:Ett plustecken omvandlas på något sätt till ett minustecken precis innan fortsättningen, vilket ger en massa följdfel.
Dessutom gör du återigen fel när du bryter ut. Om du skall bryta ut e^x-e^{-x}e^x(1-e^{-2x})$$. Det blir även krångligare på grund av roten.
Rätta till teckenfelet och se hur långt du kommer.
Blev något fel i din text så ser inte riktigt vad du skrev, men förstår att du vill få fram att jag gör fel när jag bryter ut e.
Har gjort ett nytt försök utan att komma i mål.. nu börjar tålamodet tryta :)

Du får inte använda logaritmlagen så där!
Nu står ju båda termer inuti en logaritm. Logaritmlagen gäller för en subtraktion mellan två logaritmer.
Mitt tips är följande likhet:
Ser du hur detta hjälper?
AlvinB skrev:Du får inte använda logaritmlagen så där!
Nu står ju båda termer inuti en logaritm. Logaritmlagen gäller för en subtraktion mellan två logaritmer.
Mitt tips är följande likhet:
Ser du hur detta hjälper?
Det visste jag ju e.g, vet inte hur jag tänkte där.
Snyggt att se den där omskrivningen, den hade jag aldrig luskat ut
Nu fick jag ut rätt lösning tillslut :-) Tack så mycket för all hjälp!