offan123 behöver inte mer hjälp
offan123 3072
Postad: 14 jan 2023 09:58 Redigerad: 14 jan 2023 10:10

Logaritmer

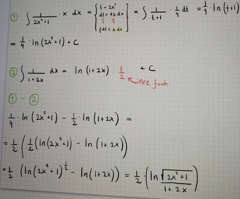
Hur kan man förenkla det sista steget "(1)-(2)"?

Marilyn 4014
Postad: 14 jan 2023 10:50

Jag skulle skriva andra termen som (1/4)*2 ln(1+2x) = (1/4) ln (1+2x)2

Då blir hela uttrycket (1/4) [ ln(2x2+1) – ln(1+2x)2

om du ska gå vidare beror på vad du vill göra med uttrycket.

Du kan ju skriva om det som (1/4) ln [A/B]

Svara
Close