11 svar
271 visningar
RamanJ behöver inte mer hjälp
RamanJ 52
Postad: 3 aug 2023 19:12 Redigerad: 3 aug 2023 19:22

Logaritmer - Svara Algebraiskt med tre decimaler

Jag fattar inte hur jag ska lösa problemen c), e). Har kollat på olika videor och kan forfarande inte direkt förstå hur jag ska lösa dem. 

Facit: 

Ture 11168
Postad: 3 aug 2023 19:21

på c, börja med att förenkla så du får lg(x) ensamt på ena sidan likhetstecknet!

RamanJ 52
Postad: 3 aug 2023 19:24 Redigerad: 3 aug 2023 19:25
Ture skrev:

på c, börja med att förenkla så du får lg(x) ensamt på ena sidan likhetstecknet!

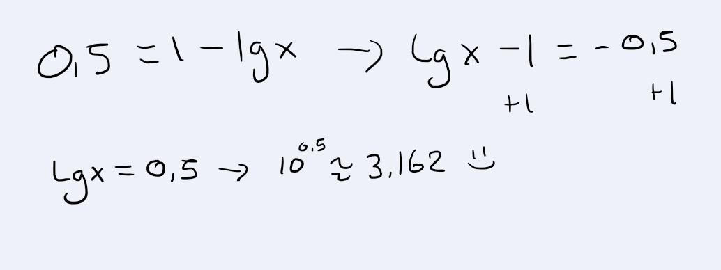
Nu blev fråga c) rätt, tack för den!

Glömde skriva x=

naturnatur1 3232
Postad: 3 aug 2023 19:27

På e)

Vet du hur du kan göra för att få bort lg från högerledet? 

RamanJ 52
Postad: 3 aug 2023 19:28
naturnatur1 skrev:

På e)

Vet du hur du kan göra för att få bort lg från högerledet? 

Skriva det som en 10:a istället?

naturnatur1 3232
Postad: 3 aug 2023 19:31
RamanJ skrev:
naturnatur1 skrev:

På e)

Vet du hur du kan göra för att få bort lg från högerledet? 

Skriva det som en 10:a istället?

Om du menar skriva om med basen 10, som 10lg(-x)  så ja.

(Kom ihåg att göra det på båda sidorna!)

RamanJ 52
Postad: 3 aug 2023 19:36
naturnatur1 skrev:
RamanJ skrev:
naturnatur1 skrev:

På e)

Vet du hur du kan göra för att få bort lg från högerledet? 

Skriva det som en 10:a istället?

Om du menar skriva om med basen 10, som 10lg(-x)  så ja.

(Kom ihåg att göra det på båda sidorna!)

Då har man gjort det, men jag vet inte riktigt hur jag ska fortsätta

naturnatur1 3232
Postad: 3 aug 2023 19:39
RamanJ skrev:
naturnatur1 skrev:
RamanJ skrev:
naturnatur1 skrev:

På e)

Vet du hur du kan göra för att få bort lg från högerledet? 

Skriva det som en 10:a istället?

Om du menar skriva om med basen 10, som 10lg(-x)  så ja.

(Kom ihåg att göra det på båda sidorna!)

Då har man gjort det, men jag vet inte riktigt hur jag ska fortsätta

Inte riktigt, du ska göra samma sak på båda sidorna (skriva om med basen 10)

1,7 = 10lg(-x)

Högerledet har du skrivit om, men eftersom 10 är som bas på högersidan ska du skriva om vänsterledet också

naturnatur1 3232
Postad: 3 aug 2023 19:42 Redigerad: 3 aug 2023 19:45

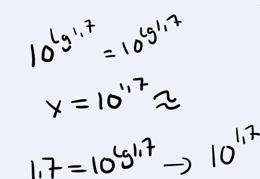
Denna bilden kanske ger bättre ledtråd (med ett annat exempel med samma princip)

RamanJ 52
Postad: 3 aug 2023 20:06 Redigerad: 3 aug 2023 20:07
naturnatur1 skrev:

Denna bilden kanske ger bättre ledtråd (med ett annat exempel med samma princip)

Om jag ska vara ärligt så är jag fortfarande lite förvirrad. blir båda leden 10^lg 1.7 = 10^lg 1.7 ?

naturnatur1 3232
Postad: 3 aug 2023 21:44
RamanJ skrev:
naturnatur1 skrev:

Denna bilden kanske ger bättre ledtråd (med ett annat exempel med samma princip)

Om jag ska vara ärligt så är jag fortfarande lite förvirrad. blir båda leden 10^lg 1.7 = 10^lg 1.7 ?

Nej. Båda leden ska skrivas om till tal med basen tio. Det du gör är att du på både leden gör så att dess baser blir 10. Detta kan du göra eftersom lg finns med och det enklast är att göra om till basen 10 då lg10= 1 (på så sätt får vi bort lg). När vi sedan får bort lg så blir det som en vanlig ekvation. 

Ha kvar talen så som de är, men skriv bara till basen 10.

Visa spoiler

101,7 = 10lg(-x)

bra att du är ärlig när du inte hänger med, det är så man lär sig! (Hojta till om något är oklart)

RamanJ 52
Postad: 3 aug 2023 22:12
naturnatur1 skrev:
RamanJ skrev:
naturnatur1 skrev:

Denna bilden kanske ger bättre ledtråd (med ett annat exempel med samma princip)

Om jag ska vara ärligt så är jag fortfarande lite förvirrad. blir båda leden 10^lg 1.7 = 10^lg 1.7 ?

Nej. Båda leden ska skrivas om till tal med basen tio. Det du gör är att du på både leden gör så att dess baser blir 10. Detta kan du göra eftersom lg finns med och det enklast är att göra om till basen 10 då lg10= 1 (på så sätt får vi bort lg). När vi sedan får bort lg så blir det som en vanlig ekvation. 

Ha kvar talen så som de är, men skriv bara till basen 10.

Visa spoiler

101,7 = 10lg(-x)

bra att du är ärlig när du inte hänger med, det är så man lär sig! (Hojta till om något är oklart)

Tack, nu förstår jag mycket bättre =)

Svara
Close