1
svar
118
visningar
alix2a behöver inte mer hjälp
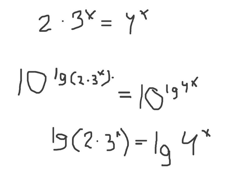
logaritmera

Är anledningen till att jag kan förenkla första raden till andra pga det jag skrivit nedan? Vill bara stämma med någon att resonemanget är rätt. :)

Nja det är ok att logaritmera (positiva) tal på båda sidorna sådär. Ditt mellansteg tillför inget. Det är lite som att om x = y, då är x + 1 = y + 1, och , och .... och lg(x) = lg(y).