1
svar
52
visningar
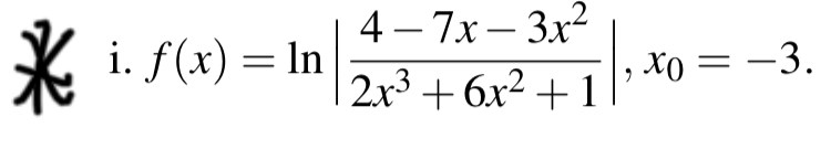
Logaritmfunktions tangent

’Vad har jag gjort fel?
Första termen i f'(-3): -7-6x är 11, inte -11.