Logaritmlagar, jämför två lösningar
Sitter och räknar igenom repitionsuppgifter/fördjupning inför universitetsutbildning. Har fastnat på den här.
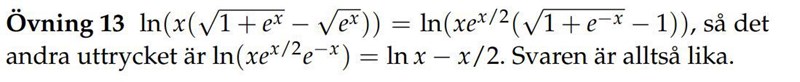
Två personer har löst en uppgift på olika sätt och fått svaren respektive . Måste någon av dem ha fel?
Tänker att man ska skriva om någon av dem och få dem lika med varandra och därav visa att de har fått samma svar (om båda har rätt dådå). Men jag lyckas inte få de två uttrycken lika alls. Några förslag? Blir inte mer klok av facit som finns heller.
Tack tack :D
Titta på första termen i det andra uttrycket.
Eftersom
och
så kan vi bryta ut och första termen blr då
Kommer du vidare då?
Man har först brutit ut faktorn ex ur den första termen i parentesen så att parentesen blir och sedan brutit ut termen = ex/2 från de båda rötterna. Fixar du resten av förenklingen?
Japp, förstår, tack för hjälpen :D