1 svar
68 visningar
offan123 behöver inte mer hjälp
offan123 3072
Postad: 13 jan 2023 19:51 Redigerad: 13 jan 2023 20:11

Logaritmregel och integral

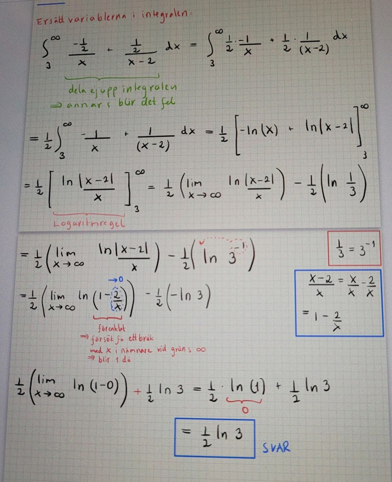
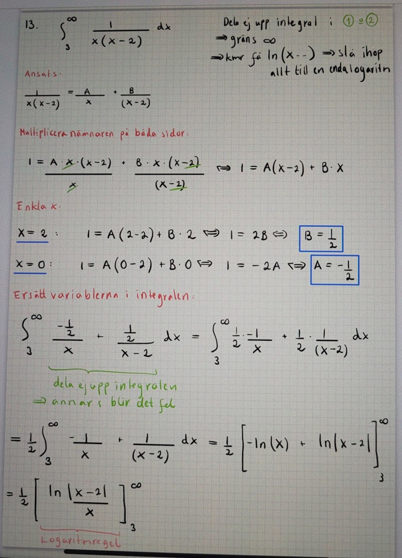
Behöver lite hjälp att komma vidare. Ser den primitiva funktionen okej ut?

Denna förenkligen är tillåten?

Marilyn 4014
Postad: 13 jan 2023 21:18

Om du bestämt konstanterna A och B rätt (jag har inte kollat) så tycker jag du verkar klar efter första sidan. Du har

(1/2)*ln[(x–2)/x] från x = 2 till oändl. (Absoluttecknet behövs inte eftersom 3 > 2)

(x–2)/x = (1–2/x)/1 går mot 1 när x går mot oändl så du får

(1/2) ln 1 – (1/2) ln (1/3)

ln 1 = 0 och ln (1/3) = –ln3 ger

svar (1/2)ln3

eller ln(roten ur 3)

Svara
Close