0
svar
84
visningar
triceratops behöver inte mer hjälp
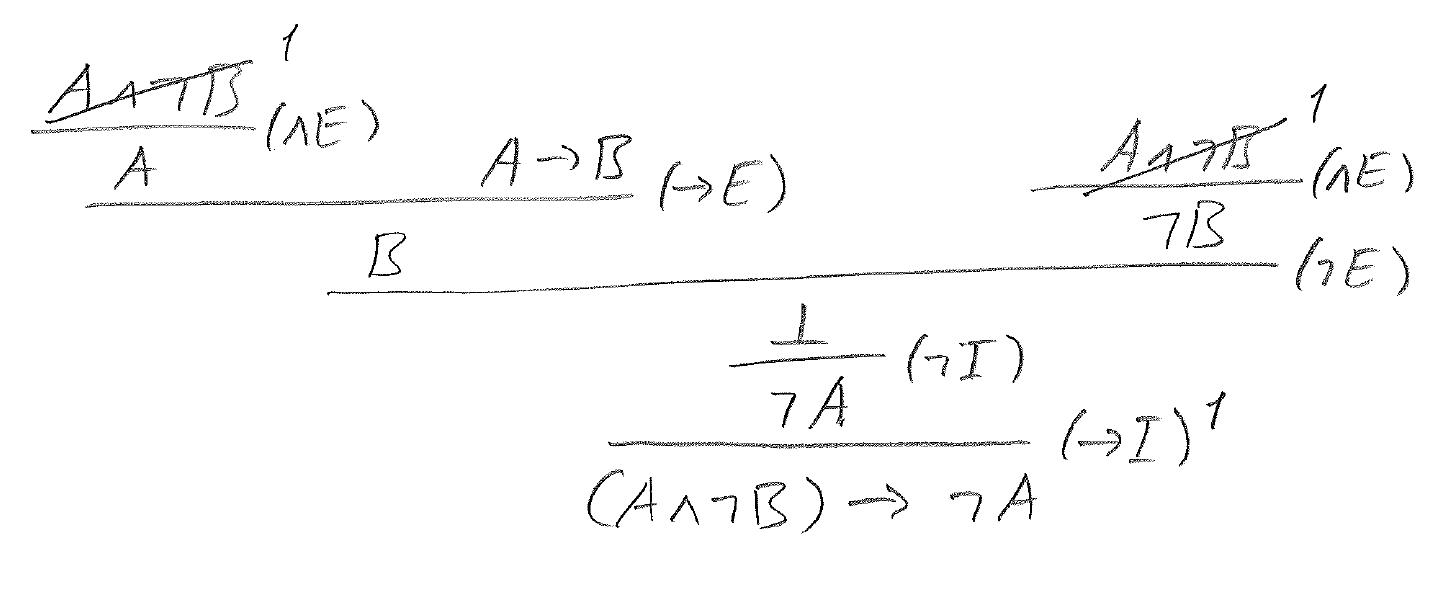
Logik, bevisträd
Jag har svårt att förstå det här bevisträdet, jag förstår inte icke-introduktionen. Visst kan man bara komma fram till icke-A, om A fanns med bland ens ostrukna antaganden? Här gör det väl inte det.
