13 svar
324 visningar
bonobo 4 – Fd. Medlem
Postad: 17 feb 2017 02:40

Logistisk befolkningstillväxt: dP/dt=P(a-bP)

Hej! Jag har kört fast på nedanstående problem och skulle verkligen uppskatta lite input.

dP/dt=P(a-bP)

P(t)

P(0)=1463, 

P(1)=2014.65, 

P(2)=2590.82, 

P(3)=3116.48, 

P(4)=3540.1,

P(5)=3848.65,

P(6)=4057.2,

P(7)=4191.15,

P(8)=4274.38

 

Ta reda på a och b:
a =
b =

 

Nedan är delar av mina frustrerade försök att försöka lösa problemet på, men det kändes allt mer hopplöst.

 

HT-Borås 1287
Postad: 17 feb 2017 08:51

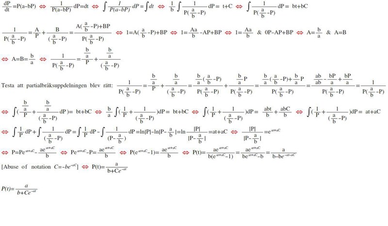
Ekvationen är separerbar, men jag kan inte se att du har gjort en riktig separation, dvs.

dP/(P(a-bP))=dt. Sedan behövs det tre villkor för att bestämma integrationskonstanten och a och b. Här finns det fler, vilket kanske är problematiskt.

dobedidoo 85
Postad: 17 feb 2017 09:26

Kanske blir det lättare att lösa den som separabel på det sätt som HT-Borås nämner. Kan också vara en väg att fortsätta som du började, men jag tycker det ser ut som ett teckenfel tidigt i räkningen som kan ha ställt till det:

Du kommer fram till att dudt=-P-2dPdt men sedan har det väl blivit omvänt tecken i raden under? Borde inte ekvationen bli -dudt-au=-b? Då kanske det blir trevligare sedan.

Blir nog lite besvärliga saker att lösa ut a, b och C sedan trots allt, men det borde gå.

Förresten, på din fjärde rad - ska det verkligen vara två likhetstecken där? Kanske bara skrivfel...

Nyfiken på hur det går sedan! :)

dobedidoo 85
Postad: 17 feb 2017 12:16

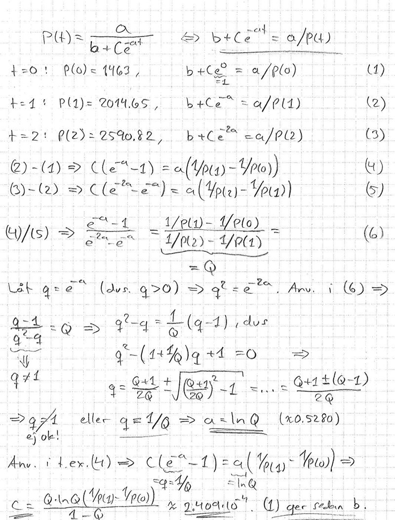
Det här var en så kul uppgift att jag inte kunde låta bli. Det går helt klart att komma vidare på det sätt du började, med substitutionen u=1/P.

Vad jag kom fram till efter att ha fått ett uttryck för u (och alltså även för P, men jag valde att räkna vidare med u, av någon anledning) var tre ekvationer för att få fram a, b och C. N behövs ju inte C i svaret, men det kommer fram ändå, och är även bra om man sedan vill testa sin lösning. Det är precis som Henrik säger, att det ges många fler än tre villkor, men jag nöjde mig med de tre första, vilket gick bra. I efterhand ser man att lösningen verkar matcha även övriga punkter precis, så det känns lovande och antagligen kan man välja precis vilka tre villkor man vill av de givna.

För att få fram a, b och C fick jag trixa lite med villkoren/ekvationerna, men helt klart är det något som går att klara med den matematik du verkar använda dig av själv.

Vore intressant att se om det även går att gå vägen via separation, men det lämnar jag åt någon annan.

Affe Jkpg 6630
Postad: 17 feb 2017 13:13 Redigerad: 17 feb 2017 13:29

P=a2P2-b3P3+C

HT-Borås 1287
Postad: 17 feb 2017 13:22

Märk att det inte går att göra så som Affe föreslår. Integralen av Pdt är inte P^2/2.

Affe Jkpg 6630
Postad: 17 feb 2017 13:31

Nä,,,där gjorde jag fel :-)

Albiki 5096 – Fd. Medlem
Postad: 17 feb 2017 13:47

Hej!

Det går inte att bestämma de två parametrarna a och b så att grafen till funktionen P(t) går genom de nio givna punkterna.

Istället ska du bestämma a och b så att grafen ligger så nära punkterna som möjligt; du kan exempelvis prova att använda en icke-linjär minsta-kvadratmetod för att finna a och b.

Albiki

dobedidoo 85
Postad: 17 feb 2017 15:48

Det är sant att problemet egentligen är överbestämt, men i detta fall verkar det som om alla givna villkor ligger på lösningsfunktionen. För att använda en minsta-kvadratmetod behöver man först en funktion att anpassa parametrarna med. I detta fall ser jag inte omedelbart hur man gör en sådan anpassning då lösningen är på formen P=ab+C·e-at. Kan görs numeriskt, och kanske analytiskt också (?), men det verkar rejält besvärligt tycker jag. Enklare då att t.ex. testa använda de tre första punkterna/villkoren, och sedan kolla hur svaret passar med övriga villkor.

bonobo 4 – Fd. Medlem
Postad: 20 feb 2017 22:44

Hej, tack för all input. Jag tog ett kik på det häromdagen och lyckades åtminstone integrera det och få fram P(t).

Jag får dock inte till att därefter beräkna a och b korrekt.

dobedidoo 85
Postad: 22 feb 2017 09:34

Jag kan skriva ihop ett förslag på hur man kan få ut a, b, och C. Det blir nog foto på handskrivet, men det borde gå att läsa. Återkommer snart.

dobedidoo 85
Postad: 22 feb 2017 11:54
dobedidoo skrev :

Jag kan skriva ihop ett förslag på hur man kan få ut a, b, och C. Det blir nog foto på handskrivet, men det borde gå att läsa. Återkommer snart.

 Kanske finns det enklare vägar att gå, men detta ger i alla fall värden på a, b och C så att P(t)=ab+Ce-at stämmer med alla värden som är givna i uppgiften. Vore intressant om detta problem gick att lösa på något annat sätt än som en separabel diffekvation... Man frågar ju efter bara a och b, så möjligen finns det enklare vägar att gå. Om man approximerar derivatan i resp. punkt med dP(t)/dt = (P(t+1)-P(1))/1 och gör det till ett överbestämt ekvationssystem kan man få fram en minsta kvadratlösning av a och b som är hyfsat nära de jag fick fram i "handräkningen", men inte precis. Kanske skulle det bli ännu närmare om man gör en bättre numerisk approximation av derivatan, men jag lämnar det.

Albiki 5096 – Fd. Medlem
Postad: 22 feb 2017 14:48

Hej Dobedidoo!

Du har alltså kommit fram fram till att följande funktion uppfyller samtliga åtta villkor.

    P(t)=0.52800.52801463+0.0002409(1-e-0.5280t) . \displaystyle P(t)=\frac{0.5280}{\frac{0.5280}{1463}+0.0002409(1-e^{-0.5280t})}\ .

Denna funktion ska vara sådan att P(8)=4274.38 P(8) = 4274.38 . Detta stämmer inte; funktionsvärdet P(8) P(8) ligger inte ens i närheten av talet 4274.38 4274.38 .

    P(8)=0.52800.52801463+0.0002409(1-e-0.5280·8)5256.939 . \displaystyle P(8)=\frac{0.5280}{\frac{0.5280}{1463}+0.0002409(1-e^{-0.5280\cdot 8})} \approx 5256.939\ .

Jag vet inte hur du, innan du visste värdet på parametrarna a a och b b och c c , kunde veta att grafen till funktionen P(t) P(t) precis går genom de åtta givna punkterna. (Gudomlig inspiration?) 

Så som uppgiften verkar vara formulerad (otydligt) ska man försöka göra så gott man kan (anpassa kurva till mätdata) att finna parametervärden a a och b b ; att strunta i majoriteten av den givna informationen är inte att göra så gott man kan.

Albiki

dobedidoo 85
Postad: 22 feb 2017 23:46 Redigerad: 22 feb 2017 23:47

Albiki: Nej, tyvärr kan jag inte skryta om någon gudomlig inspiration (även om det vore najs ibland!). Vad jag skrev i ett av mina tidigare inlägg var "... i detta fall verkar det som om alla givna villkor ligger på lösningsfunktionen" (som jag alltså kollade efter att jag räknat - inget fel i att göra en sådan efterkontroll kan jag tro(!?) - samt att jag även skrev att jag nöjde mig med att (först) kolla på bara de tre första villkoren, räkna på och sedan "i efterhand ser man att lösningen verkar matcha även övriga punkter precis, så det känns lovande och antagligen kan man välja precis vilka tre villkor man vill av de givna". Eftersom jag fick fram ett svar som jag kollade mot alla(!) givna villkor och som stämmer precis (se nedan) ser jag inte att jag struntat i någon given information över huvud taget.

Vad gäller lösningen tror jag du missade i nämnaren av funktionsuttrycket. Borde väl bli P(t)=ab+Ce-at=b=aP(0)-C=aa/P(0)-C+Ce-at=aa/P(0)+C(e-at-1). Sedan ska man ju vara försiktig när man approximerar till numeriska värden, och jag angav bara 4 värdesiffror (tror jag), men man kan givetvis ta flera och få bättre noggrannhet. Testa igen, så hoppas jag du håller med mig om att funktionen går alldeles utmärkt igenom alla nio punkterna (se bild nedan).

Var noggrann med vad du slår på räknaren/datorn, för jag fick ett helt annat svar än du på "din" P(8); nåt i stil med 882.5.

Sedan har jag också i mina inlägg skrivit att det absolut kan finnas "bättre", enklare, andra sätt att räkna fram a och b, och få är nog mer intresserade än jag på hur det skulle kunna se ut! En kurvanpassning med minsta-kvadratminimering, eller annan anpassning till de nio punkterna, har jag inte alls uteslutit - bara sagt att jag gjorde på ett annat sätt.

Svara
Close