6
svar
292
visningar
Logistiska tillväxtmodellen
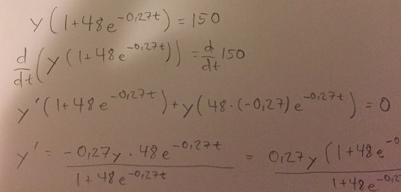
ser nu att jag har deriverat helt åt skogen
Ta inte bort ditt inlägg för det. Nu kan ju ingen hjälpa till!
Uppgiften löses betydligt enklare om du multiplicerar upp nämnaren i VL och sedan använder produktregeln! Se början nedan:

Jag har försökt på ditt sätt men får inte ihop det.

Jag postar hela uppgiften igen...

2:a raden är rätt. Därefter blir det fel.
Såg att jag gjort en miss också: det ska vara inte .
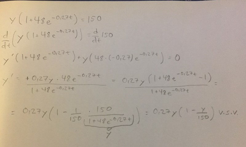
Se hela lösningen nedan:
