Lokala maxima/minima för funktion med absolutbelopp
Om vi har en funktion med definitionsmängden
Vad är algoritmen att hitta alla dess extrempunkter, lokala maxima/minima och största/minsta värde?
Kan man ens derivera uttrycket eftersom inte funktionen är kontinuerligt deriverbar, hur går man till väga i så fall?
En sak väl är att funktionen bör ha extrempunkter vid skärning med x-axeln eller då funktionsvärdet är 0 då grafen måste ha sitt lokala minimum vid den punkten eftersom inte värdemängden för ett absolutbelopp kan understiga 0?
Man får betrakta de separata intervall där funktionen är deriverbar, samt dess värden där intervallen möts.
Laguna skrev:Man får betrakta de separata intervall där funktionen är deriverbar, samt dess värden där intervallen möts.
Intervallen möts vid funktionens nollställen? Men hur gör man det, ska man derivera funktionens olika intervall?
Derivatans extrempunkter (f'(x)=0) kanske är samma om man tar bort absolutbeloppet och endast deriverar den inre funktionen?
Zeshen skrev:Laguna skrev:Man får betrakta de separata intervall där funktionen är deriverbar, samt dess värden där intervallen möts.
Intervallen möts vid funktionens nollställen? Men hur gör man det, ska man derivera funktionens olika intervall?
Jag skulle börja med att skissa funktionen på följande sätt: Rita i intervallet , sedan spegla alla negativa funktionsvärden i x-axeln.
Då ser man rätt bra vad det är som efterfrågas.
Alltså kan de punkter som ej är deriverbara (de spetsiga) hittas där funktionen är 0.
Funktionens deriverbara punkter har samma x värde som den inre funktionen. (Eftersom funktionen är nästan samma bara att den är spegelvänd mot y = d om polynomet är )
Max-/minvärde kan checkas efter man har räknat ut värdena vid slutet av definitionsmängden.
Eller?
Yngve skrev:Zeshen skrev:Laguna skrev:Man får betrakta de separata intervall där funktionen är deriverbar, samt dess värden där intervallen möts.
Intervallen möts vid funktionens nollställen? Men hur gör man det, ska man derivera funktionens olika intervall?
Jag skulle börja med att skissa funktionen på följande sätt: Rita i intervallet , sedan spegla alla negativa funktionsvärden i x-axeln.
Då ser man rätt bra vad det är som efterfrågas.
Man kanske ska skissa med omvänt tecken eftersom det är absolutbelopp?
Problemet är dock om man ska skissa funktionen för svårare polynom av högre grad och det blir smidigare att lösa det algebraisk?
Men det verkar som att alla extrempunkter kan hittas om man löser ut funktionens nollställen och hitta derivatans nollställen.
Ett alternativ är att skriva om det enligt:
Zeshen skrev:
Man kanske ska skissa med omvänt tecken eftersom det är absolutbelopp?
Nej det stämmer inte. Det gäller inte att .
Det finns en ganska rak checklista som fungerar för alla kontinuerliga funktioner, även om det finns (ett begränsat antal) punkter där funktionen inte är deriverbar. Den lyder:
- Undersök punkter där derivatan är noll
- Undersök punkter där derivatan är odefinierad
- Undersök ändpunkterna
Du kommer att märka att punkter där derivatan är odefinierad kan ha samma egenskaper som punkter där derivatan är noll (d.v.s. de kan vara maximum-, minimum- eller terasspunkter). Jämför till exempel med .
EDIT: Märk även att det inte är nödvändigt att dela upp funktionen i flera fall för att kunna derivera den. Det finns nämligen ett ganska trevligt uttryck för derivatan av :
Med hjälp av detta och kedjeregeln borde du kunna ta fram ett uttryck för din funktions derivata. Att studera grafen av derivatan tillsammans med grafen av funktionen kan även hjälpa med att ge förståelse för hur en punkt där derivatan är odefinierad kan vara ett maximum eller minimum.
Yngve skrev:Zeshen skrev:Man kanske ska skissa med omvänt tecken eftersom det är absolutbelopp?Nej det stämmer inte. Det gäller inte att .
Oj menade för att se hur grafen mellan nollställena skulle se ut.
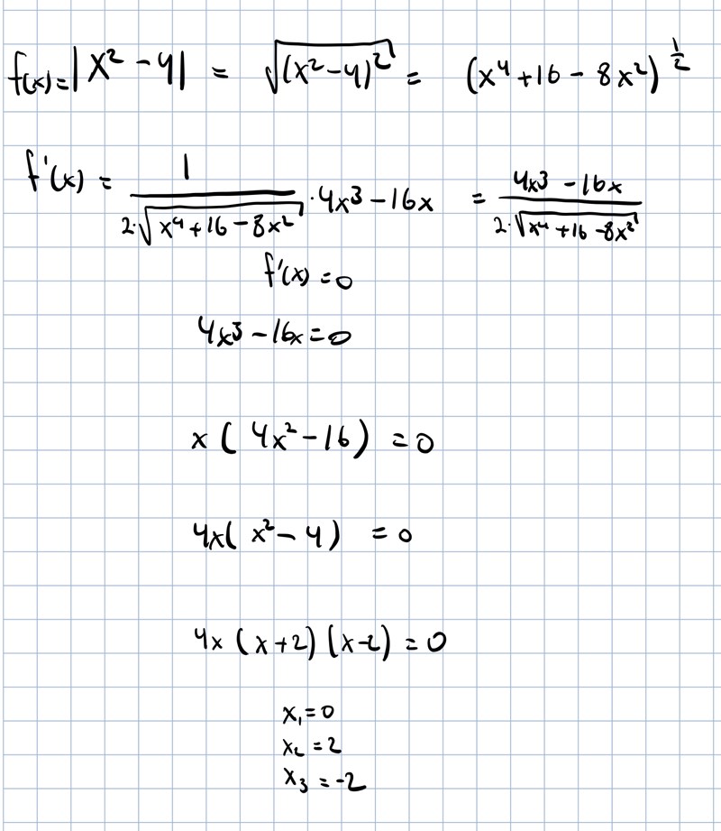
tomast80 skrev:Ett alternativ är att skriva om det enligt:

Testade det innan men råka skriva 4x(x-4) istället för 4x(-4)
Nu verkar jag få korrekta svar, dock varför får man x = 2 och x = -2 om punkten (x, f'(x)) inte är deriverbar?
Edit: Det var inget, nämnaren är lika med 0 vid x =+-2
AlvinB skrev:Det finns en ganska rak checklista som fungerar för alla kontinuerliga funktioner, även om det finns (ett begränsat antal) punkter där funktionen inte är deriverbar. Den lyder:
- Undersök punkter där derivatan är noll
- Undersök punkter där derivatan är odefinierad
- Undersök ändpunkterna
Du kommer att märka att punkter där derivatan är odefinierad kan ha samma egenskaper som punkter där derivatan är noll (d.v.s. de kan vara maximum-, minimum- eller terasspunkter). Jämför till exempel med .
EDIT: Märk även att det inte är nödvändigt att dela upp funktionen i flera fall för att kunna derivera den. Det finns nämligen ett ganska trevligt uttryck för derivatan av :
Med hjälp av detta och kedjeregeln borde du kunna ta fram ett uttryck för din funktions derivata. Att studera grafen av derivatan tillsammans med grafen av funktionen kan även hjälpa med att ge förståelse för hur en punkt där derivatan är odefinierad kan vara ett maximum eller minimum.

Så här?
Alltså ligger det en extrempunkt vid x = 0, efter som f(x) är mindre vid x=+-1 så är det en maximipunkt. (Andraderivatan är lite jobbig om man ska checka om det är en max-/min-/terasspunkt)
Så x=+-2 är odefinierade och där ligger de två andra extrempunkter vilket är min punkter eftersom endast positiva värden existerar för funktionen.
Ganska rimlig och bra sätt att lista ut extrempunkterna, antar att fås av derivatas definition?
Förläng med täljarens konjugat.
...
AlvinB skrev:Det finns en ganska rak checklista som fungerar för alla kontinuerliga funktioner, även om det finns (ett begränsat antal) punkter där funktionen inte är deriverbar. Den lyder:
- Undersök punkter där derivatan är noll
- Undersök punkter där derivatan är odefinierad
- Undersök ändpunkterna
Du kommer att märka att punkter där derivatan är odefinierad kan ha samma egenskaper som punkter där derivatan är noll (d.v.s. de kan vara maximum-, minimum- eller terasspunkter). Jämför till exempel med .
EDIT: Märk även att det inte är nödvändigt att dela upp funktionen i flera fall för att kunna derivera den. Det finns nämligen ett ganska trevligt uttryck för derivatan av :
Med hjälp av detta och kedjeregeln borde du kunna ta fram ett uttryck för din funktions derivata. Att studera grafen av derivatan tillsammans med grafen av funktionen kan även hjälpa med att ge förståelse för hur en punkt där derivatan är odefinierad kan vara ett maximum eller minimum.
Checklistan kan tillämpas på deriverbara funktioner, men inte nödvändigtvis på funktioner som bara är kontinuerliga; kom ihåg att det finns kontinuerliga funktioner som ej är deriverbara.
Albiki skrev:AlvinB skrev:Det finns en ganska rak checklista som fungerar för alla kontinuerliga funktioner, även om det finns (ett begränsat antal) punkter där funktionen inte är deriverbar. Den lyder:
- Undersök punkter där derivatan är noll
- Undersök punkter där derivatan är odefinierad
- Undersök ändpunkterna
Du kommer att märka att punkter där derivatan är odefinierad kan ha samma egenskaper som punkter där derivatan är noll (d.v.s. de kan vara maximum-, minimum- eller terasspunkter). Jämför till exempel med .
EDIT: Märk även att det inte är nödvändigt att dela upp funktionen i flera fall för att kunna derivera den. Det finns nämligen ett ganska trevligt uttryck för derivatan av :
Med hjälp av detta och kedjeregeln borde du kunna ta fram ett uttryck för din funktions derivata. Att studera grafen av derivatan tillsammans med grafen av funktionen kan även hjälpa med att ge förståelse för hur en punkt där derivatan är odefinierad kan vara ett maximum eller minimum.
Checklistan kan tillämpas på deriverbara funktioner, men inte nödvändigtvis på funktioner som bara är kontinuerliga; kom ihåg att det finns kontinuerliga funktioner som ej är deriverbara.
Räknas abs(x) som deriverbar eftersom det finns en punkt som inte är det (och vi kunde fortfarande göra det)? Vad finns det för andra icke-deriverbara funktioner som är kontinuerliga?
tomast80 skrev:
Förläng med täljarens konjugat.
...

Hur kan man se i uttrycket att täljaren måste vara positiv eller absolutbeloppet av x?
Låt vara en uppräkning av alla rationella tal mellan 0 och 1. Följande funktion är inte deriverbar på något intervall
där
Zeshen skrev:tomast80 skrev:
Förläng med täljarens konjugat.
...
Hur kan man se i uttrycket att täljaren måste vara positiv eller absolutbeloppet av x?
Det gäller ju att och , så på slutet borde du istället få:
Notera även att du i din uträkning gör dig skyldig till ett smärre missbruk av likhetstecken då du sätter likhetstecken mellan led där du har och led där du inte har det.