1
svar
66
visningar
Lös andragradsekvationen på två olika sätt

Okej så metod 1 förstår jag ganska bra. Det gör jag så här:
gör både VL och HL till polär form
VL:
HL:
VL=HL ger
andragradsekvation, så har två rötter.
allt detta ger:
och
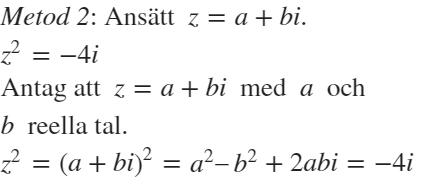
Detta tror jag ser bra ut, men sen kommer jag till Metod 2, och det har jag riktigt svårt med.
Kunde någon ge mig lite tips om att lösa det med Metod 2?

Du har alltså
För att HL = VL så krävs att Re(HL) = Re(VL) samt att Im(HL) = Im(VL), så
och
Lös ekvationssystemet med lämplig metod.