5 svar
153 visningar
AlexanderJansson behöver inte mer hjälp
AlexanderJansson 756
Postad: 28 mar 2024 09:11

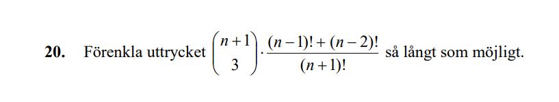
Lös denna uppgift åt mig, jag får (n+1)/6, Rätt ska svar (n/6)

Jag började med att förenkla vänster term till

n(n+1)(n-1)/6


Bedinsis 3343
Postad: 28 mar 2024 09:19

Du kan ju dela in bråket i två bråk.

n-1!+n-2!n+1!=n-1!n+1!+n-2!n+1!

Och sedan förenkla så långt som möjligt, och multiplicera de två termerna med den vänstra termen.

AlexanderJansson 756
Postad: 28 mar 2024 09:27
Bedinsis skrev:

Du kan ju dela in bråket i två bråk.

n-1!+n-2!n+1!=n-1!n+1!+n-2!n+1!

Och sedan förenkla så långt som möjligt, och multiplicera de två termerna med den vänstra termen.

Jag fick (n+1)/6, vilket är fel återigen

Bedinsis 3343
Postad: 28 mar 2024 09:31

Kan du visa din uträkning?

AlexanderJansson 756
Postad: 28 mar 2024 09:34
Bedinsis skrev:

Kan du visa din uträkning?

Den är jätte rörig, denna uppgift verkar inte så svår, känns som att det mest effektiva skulle vara om någon löste den så kan jag checka själv?

Smaragdalena 78892 – Avstängd
Postad: 28 mar 2024 09:50
AlexanderJansson skrev:
Bedinsis skrev:

Kan du visa din uträkning?

Den är jätte rörig, denna uppgift verkar inte så svår, känns som att det mest effektiva skulle vara om någon löste den så kan jag checka själv?

Då behöver du träna på att redovisa tydligt också. Det är minst lika viktgt om att kunna räkna.

Om du börjar med att skriva om alla fakulteter som nånting gånger (n-2)! så kan du förkorta bort mycket.

Svara
Close