2 svar
89 visningar
nyfiken888 behöver inte mer hjälp
nyfiken888 87
Postad: 13 aug 2018 10:25

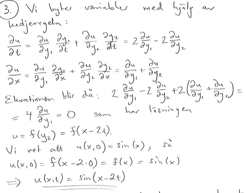
Lös differentialekvation

Har denna uppgift:
Här har vi svaret:
Men jag får 4*f'(x+2t)=0 sen förstår jag inte riktigt hur lösningen kan bli u=f(y2)?

Undrar om det är fel i facit?

AlvinB 4015
Postad: 13 aug 2018 10:58

Jag begriper inte riktigt vad du menar.

För att

uy1=0\dfrac{\partial u}{\partial y_1}=0

krävs det ju bara att uu är vad som helst som inte involverar variabeln y1y_1. Man väljer här att beteckna detta som f(y2)f(y_2), en funktion av variabeln y2y_2. Sedan sätter man in y2=x-2ty_2=x-2t så att man får:

u(x,t)=f(y2)=f(x-2t)u(x,t)=f(y_2)=f(x-2t)

Man kan sedan med hjälp av villkoret u(x,0)=sin(x)u(x,0)=\sin(x) bestämma att ff måste vara sinusfunktionen.

Smaragdalena 78892 – Avstängd
Postad: 13 aug 2018 11:12

Varför tror du att det är fel i facit?

Du har fått fram att 4δuδy1=04\frac{\delta u}{\delta y_1}=0, d v s att funktionen är oberoende av y1y_1, och alltså beror funktionen enbart på y2y_2, så u=f(y2)=f(x-2t)u=f(y_2)=f(x-2t).

Svara
Close