lös differentialekvationen
lös differentialekvationen:
y' + ay = 0
y=
Jag förstår inte hur jag ska ta mig vidare?
Tänk separabel differentialekvation. Hur skulle du göra då?
AlvinB skrev:Tänk separabel differentialekvation. Hur skulle du göra då?
Har aldrig lärt mig den, kollade några videos på youtube och läste om det nyss i boken men jag fattar att du ska separera x och y, är det rätt då att börja såhär
AlvinB skrev:Tänk separabel differentialekvation. Hur skulle du göra då?
är detta den homogena typen?
Ekvationen kan skrivas som:
Dividera och multiplicera nu så att du har -termer i VL och -termer i HL. Då kan du lösa det som en separabel differentialekvation (integrera båda led med avseende på sin variabel).
AlvinB skrev:Ekvationen kan skrivas som:
Dividera och multiplicera nu så att du har -termer i VL och -termer i HL. Då kan du lösa det som en separabel differentialekvation (integrera båda led med avseende på sin variabel).
fick jag det till. När jag integrerar får jag det till , Hur blir det när jag ska integrera VL? Gör jag ens rätt nu?
Det första är rätt, men när du integrerar blir det pannkaka. Du skall integrera:
Tänk på att du inte får integrera hur som helst i nämnare och täljare, du måste ta hänsyn till hela uttrycket.
AlvinB skrev:Det första är rätt, men när du integrerar blir det pannkaka. Du skall integrera:
Tänk på att du inte får integrera hur som helst i nämnare och täljare, du måste ta hänsyn till hela uttrycket.
Okej, måste nog öva mer på detta. Läste att man kan lösa detta med kvadrerings regeln (kan den lite mer än denna metoden) men måste säkert kunna denna metod också
AlvinB skrev:Det första är rätt, men när du integrerar blir det pannkaka. Du skall integrera:
Tänk på att du inte får integrera hur som helst i nämnare och täljare, du måste ta hänsyn till hela uttrycket.
Hur fick du y' = 1 ?
AlvinB skrev:Det första är rätt, men när du integrerar blir det pannkaka. Du skall integrera:
Tänk på att du inte får integrera hur som helst i nämnare och täljare, du måste ta hänsyn till hela uttrycket.
är inte ett, det är bara att den "absorberas" för att man ska få integrera med avseende på .
Du kan läsa på lite mer om hur man gör med separabla differentialekvationer här:
Allting i din uträkning är rätt fram till
Detta blir inte , utan .
Hej!
Din differentialekvation kan skrivas
där jag infört beteckningen .
Multiplicera ekvationen med den så kallade integrerande faktorn för att få
där funktionen är derivata till funktionen och är en konstant;
.
Din differentialekvations lösningar är tydligen där det återstår för dig att bestämma funktionen .
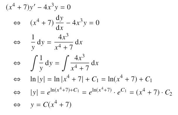
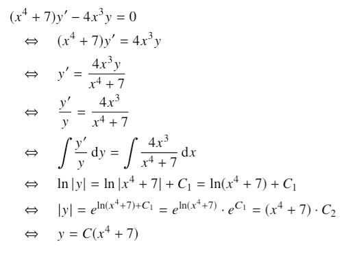
Jag gjorde såhär och fick nästan fram rätt svar, vet inte varför jag får ''+'' istället för ''*''.
Facit är:
Trinity skrev:
Det har smugit sig in ett litet slarvfel här. Det skall inte vara någon i täljaren på VL-integralen. Det borde istället vara:
Dock räknar du som att det står så här, så svaret blir korrekt.
AlvinB skrev:Trinity skrev:
Det har smugit sig in ett litet slarvfel här. Det skall inte vara någon i täljaren på VL-integralen. Det borde istället vara:
Dock räknar du som att det står så här, så svaret blir korrekt.
Jag hänger inte riktigt med här. D[ln|y|] = y'/y
Om du deriverar med avseende på , ja, men nu står det ju . För att få byta från till måste försvinna eftersom .
Någon borde införa 'radera post' på denna site. Inte bra att fel och slarv ligger kvar.

Någon borde införa 'radera post' på denna site.
Det finns - vi kallas moderatorer. Dessutom kan du redigera dina egna poster inom 2 timmar.
EDIT: Du verkar ha lagt in beräkningarns som en bild, och det kan jag inte fixa åt dig.
