2
svar
140
visningar
Jezusoyedan behöver inte mer hjälp
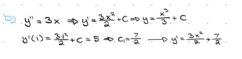
Lös differentialekvationen
Hej!
Frågan lyder:
y''=3x då y(1) = 5/2 och y'(1)=5
och enligt facit är svaret (x^3)/2+(7x)/2-3/2

Det som jag förstår inte är varför blev det "(7x)/2" och när jag försökte förstå varifrån "-3/2" dök upp så kom jag fram till detta vilket stämmer inte
y' =
Ska stå y = efter pilen!
Som Arktos påpekar glömmer du en integrationskonstant.