Lös differentialekvationen (Ta reda på C1 & C2 värden)

y'(0)=1
Hur får jag fram värdena för C1 samt C2?
Tack i förhand :)
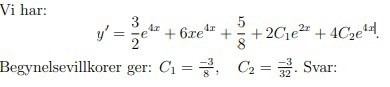
Det känns nog som att det finns vissa villkor som saknas. Jag prövade att kontrollera vad y'(0) är lika med för de angivna C-värdena. Jag får det till att y'(0) = 1.
Givet hur y' ser ut gissar jag att du har fått ett y angivet (där jag gissar att ingår som en term).
Bedinsis skrev:Det känns nog som att det finns vissa villkor som saknas. Jag prövade att kontrollera vad y'(0) är lika med för de angivna C-värdena. Jag får det till att y'(0) = 1.
Givet hur y' ser ut gissar jag att du har fått ett y angivet (där jag gissar att ingår som en term).
Skrivfel från min sida då du har rätt att y'(0)=1
Fanns det några andra villkor angivna?
Bedinsis skrev:Fanns det några andra villkor angivna?
Detta är allt som gavs till i uppgiften
y′′ − 6y′ + 8y = 3e4x + 5x
y(0) = 0
y′(0) = 1
Så y(0)= 0?
Pröva att räkna ut primitiva funktionen till y' så att du får y, och sätt sedan in att x=0 ger y=0.
Den då uppkomna ekvationen tillsammans med y'(0) = 1 borde ge värden på C1 och C2.
Eller förresten: utgå från att y′′ − 6y′ + 8y = 3e4x + 5x för att ta reda på vad y(x) är för något. Jag antar att detta har gjorts och att y' fåtts fram genom att derivera den då uppkomna funktionen.