3
svar
182
visningar
Ser bra ut

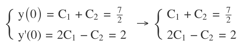
Skulle va bra att ritta en ekvation system efter Begynnelsevilkor sektorn som ser ut:
Sedan skriva allt detta:

Men annars ser beräkningarna rätta. 👍
Från #3. Detta är snyggt

Adderas ekv. fås 3C_1=11/2 vilket ger C_1 på ett litet enklar sätt.
Subtraheras (I)-2(II) fås 3C_2=2*7/2-2 = 5 vilket ger C_2, också på ett lätt sätt.
Är det rätt tänkt och löst?