Förenkla uttrycket
Fråga:
Förenkla uttrycket

Är inte riktigt säker på hur man ska urföra detta. Jag började med att lösa eller vad man ska säga den övre delen alltså y/x - x/y och fick ut -1, men vet inte hur jag ska gå vidare.
Edit: jag skrev fel man ska förkorta det inte "Lösa ekvationen, så har ändrat der nu
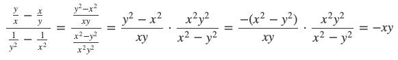
Skriv täljaren som ett enda bråk.
Gör samma sak för nämnaren.
Förenkla.
Det är ingen ekvation, för det finns inget likhetstecken. Du vill förenkla uttrycket.
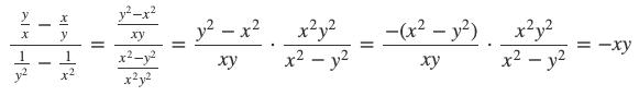
Soderstrom skrev:Skriv täljaren som ett enda bråk.
Gör samma sak för nämnaren.
Förenkla.
Jooo, men hur gör man det och i vilken ordning. Med det övre fick jag ut - 1, men vet inte om jag gjort rätt.
Nej, -1 är inte rätt.
Laguna skrev:Nej, -1 är inte rätt.
Okej då är jag helt ute och cycklar
Gör så att båda termerna får nämnaren xy.
intealltidsåsmart skrev:Soderstrom skrev:Skriv täljaren som ett enda bråk.
Gör samma sak för nämnaren.
Förenkla.
Jooo, men hur gör man det och i vilken ordning. Med det övre fick jag ut - 1, men vet inte om jag gjort rätt.

Trinity2 skrev:intealltidsåsmart skrev:Soderstrom skrev:Skriv täljaren som ett enda bråk.
Gör samma sak för nämnaren.
Förenkla.
Jooo, men hur gör man det och i vilken ordning. Med det övre fick jag ut - 1, men vet inte om jag gjort rätt.
Ahhhh okej, nu fattar jag tack!
