2 svar
95 visningar
Sandraufr behöver inte mer hjälp
Sandraufr 32
Postad: 17 dec 2018 18:10

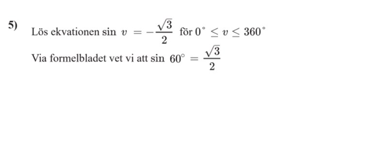
Lös ekvation

Har inte arbetat med sånna här uppgifter, vet nån hur man räknar ut det här?

Svar:

V1=240°

v2=300°

Ture 11046 – Livehjälpare
Postad: 17 dec 2018 18:32

Det bästa sättet är att ta fram en bild på enhetscirkeln och rita in det som är känt i uppgiften.

Laguna Online 31741
Postad: 17 dec 2018 18:56

Du kan använda samband av typen sin(pi/2 - x) = cos(x). Det borde finnas ett antal sådana i din lärobok, även sådana som bara innehåller sinus.

Svara
Close