6 svar
213 visningar
Maggi101 behöver inte mer hjälp
Maggi101 55 – Fd. Medlem
Postad: 16 feb 2021 13:13

Lös ekvation


Högst upp på bilden är ekvationen som ska lösas och under beskriver de hur man ska gå vidare, men jag förstår inte tankesättet.  

emilg 478
Postad: 16 feb 2021 13:54

Nja, det är något som inte stämmer här.

Det högst upp är inte en ekvation, det är en likhet. Det är alltså sant för alla värden på x.

Var det andra kommer ifrån förstår jag inte, men jag antar att det saknas något.

Anticap 113 – Fd. Medlem
Postad: 16 feb 2021 14:35

Är uppgiften att du ska bevisa att likheten stämmer?

Maggi101 55 – Fd. Medlem
Postad: 16 feb 2021 18:07

Uppgiften är att hitta alla reella lösningar

Smaragdalena 78892 – Avstängd
Postad: 16 feb 2021 18:13

Ekvationen är sann för alla värden på x. Är du säker på att du har skrivit av den rätt?

Maggi101 55 – Fd. Medlem
Postad: 16 feb 2021 18:21

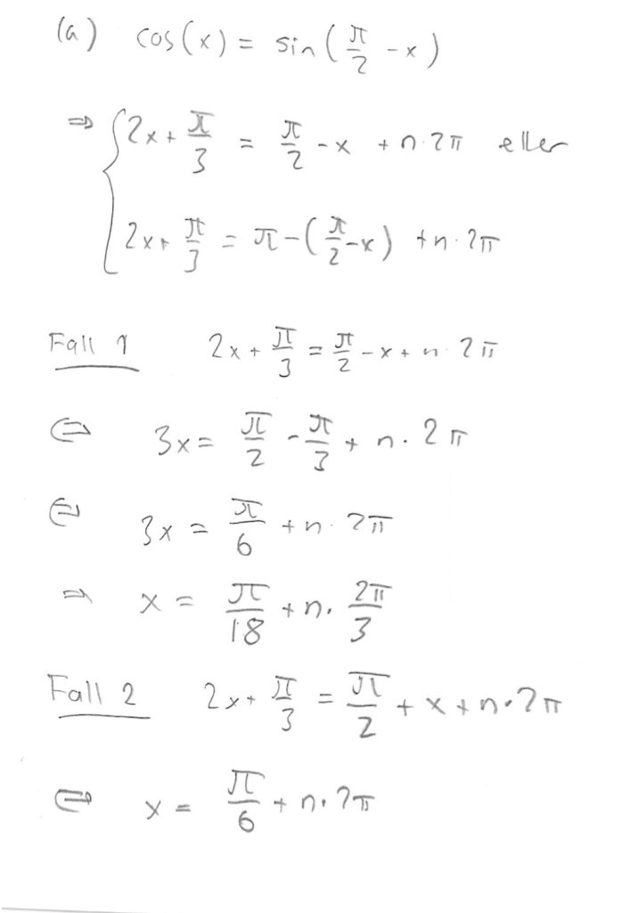
här är resten av bilden från facit

emilg 478
Postad: 16 feb 2021 21:48

Om det verkligen står så i facit så kan vi konstatera att något är väldigt konstigt med facit.

Det ser ut ut som att cos(x) borde bytas ut mot sin(2x+π3)sin(2x+\frac{\pi}{3})

Svara
Close