4
svar
127
visningar
Har du klarat någon av de övriga uppgifterna som visas?
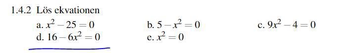
Jag klarat alla andra utan d.
16-6x2=0
börja med att förenkla och få x2 termen ren
då får jag
x2 -16/6 = 0 <=> x2 = 16/6
dra roten ur bägge led och du har förhoppningsvis dina 2 lösningar.
I så fall blir det lätt: Dividera hela ekv. med 6 så får den samma utseende som t ex uppg. b som du alltså klarat.
