Lös ekvation med PQ-formel- ännu ett problem
Uppgift: x^2/3=4x-9
Min början på lösning: x^2-4x-9=0
Dividerar alla termer med 3 för att få bort termen framför x ger
x^2-4/3x+9/3=0
x=4/3
x=4/3förlänger med tre
x=4/3±16/9-9*3/3*3 får då 16-27/9 under rottecknet som är -11 och då ruten ur ett minus tal inte går så blir det kvar 4/3 i MIN lösning vilket är helt fel.
Vad gör jag för tokigt denna gången?
Tack på förhand för hjälp
Du tappade först bort /3 och sedan delade du med en trea som inte finns där.
Börja med att multiplicera allt med tre i den första ekvationen.
TAck Laguna, men jag förstår inte, jag dividerar ju alla termer med 3 för att få bort delat med 3 under x^2...
dvs för att få x^2 ensamt. Blir förvirrad eftersom det står x^2/3, vet inte alls hur jag ska göra...
Om du delar x2/3 med 3 så blir det x2/9.
ååååå, men just det ja, knäppt av mig...Då delar jag allt annat med samma, eller hur?
Om jag delar x^2/3 för att få bort delat med tre så ska det alltså blir enbart x^2 kvar? Dvs när jag har delat alltihopa med 9, eller? Jag får hursomhelst inte ut detta. när jag delat 4x med 9 så blir det 4/9 som jag sedan sätter in i PQ-formeln och mitt resultat under rottecknet blir dåsom jag sedan löser genom följande:4/9
4/9( där 9/9 är förlängt bråk)
4/9
4/9
17/9 blir mitt felaktiga svar. Någon som kan hjälpa mig att förstå hur jag ska ta bort delat med tre under x^2? Eftersom jag tror att det är där som jag gör fel, eller?
Tack på förhand
Jag skrev det i början: Börja med att multiplicera allt med tre i den första ekvationen.
TAck Laguna men det löser ju inte att få bort x^2/3, jag vill ju ha x^2 ensamt. Om jag dividerar allt med 3 så får jag x^2/9 och allt annat delat med 3 men faktum kvarstår, x^2 blir ju inte ensamt. Antar att jag är ute och cyklar men jag får verkligen inte till detta...
Jo det löser ditt problem.
Du kanske tar för stora tankesteg i din uträkning?
Gör istället så här:
Multiplicera hela ekvationen med 3 för att bli av med nämnaren i vänsterledet:
Förenkla:
Ser du att det löste problemet?
Hej Yngve, tack för ditt svar. Korsmultiplikation alltså ;-). Men ska det inte bli x^2=12x-27? och därefter lösa det med PQ-formeln? Som jag heller inte får till, suck... Något mer tips så att jag kan få ut ekvationen? Tack på förhand
Du har rätt. (Yngve råkade tappa ett x )
Det ska bli x2 = 12x – 27.
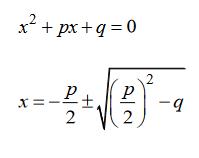
För att kunna använda pq-formeln
måste du nu skriva om ekvationen
så att det står 0 i HL.
Hur ser ekvationen ut efter det?
Som du skriver har vi nu:
Samla allt på vänster sida, så får man:
Nu kan man använda pq-formeln för att få fram två lösningar på x.

Tack alla för engagemang och svar. Nu har jag koll...äntligen