Lös ekvationen (1+i)z^2 -(4+10i)z +17i-1 = 0
Hej! Jag försöker lösa uppgift 9.30 g men vet inte hur jag ska fortsätta utan att jag får jättekrongliga ekvationer:(
Så här ser frågan ut:

Så här har jag tänkt:

Tack på förhand!
Kan du dela med 1+i och sedan använda pq-formeln?
Tyvärr får jag fortfarande ett krongligt svar:(


Dock inte lika krångligt. Du kan ansätta (a+bi)2 = -13 + 14i och lösa det.
1/(1+i) är enkelt: utnyttja konjugatet.
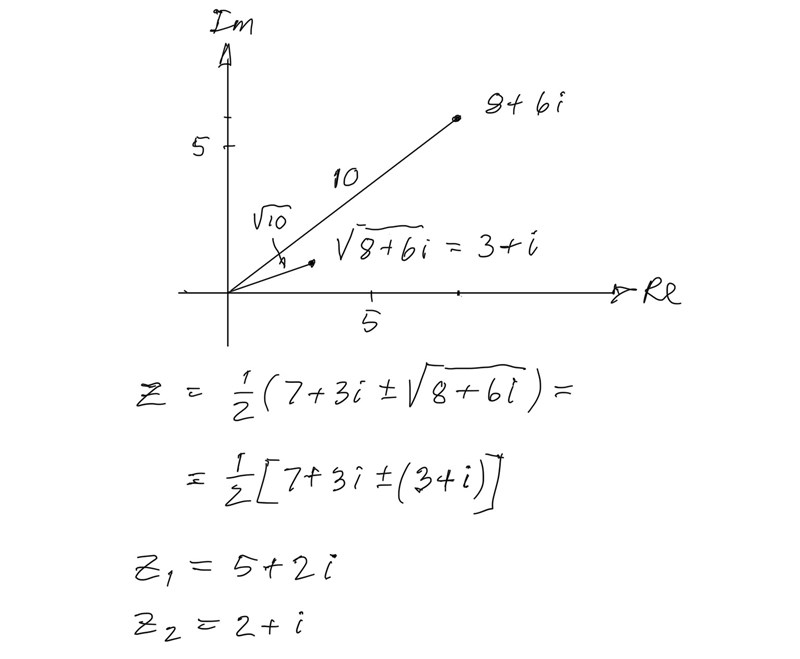
Alla får olika saker under rottecknet. Blir det verkligen 8+6i?
Tja, nog händer det att man har räknat fel, men vad tycker du att det bör bli?
Jan Ragnar skrev:Tja, nog händer det att man har räknat fel, men vad tycker du att det bör bli?
(7+3i)2 = 40 + 42i
10 + 21i/2 - 8 + 9i = 2 + 39i/2 = 1/4 (8 + 78i)
Men båda dina lösningar stämmer när jag sätter in dem, så det måste vara fel någon annanstans också.
Felet ligger högre upp, Jan Ragnar har nog råkat skriva fel i inlägg 5.
Efter multiplikation av bägge led med (1-i)/2 får vi ekvationen
z2 -(7+3i)z + 8+9i = 0
Jan Ragnar har skrivit +8 -9i.
Räknar man med 8+9i blir diskriminanten efter förenkling och utbrytning av 1/2, 8+6i
Får tacka Ture för att du redde upp misstaget.

