5
svar
135
visningar
Jonfi behöver inte mer hjälp
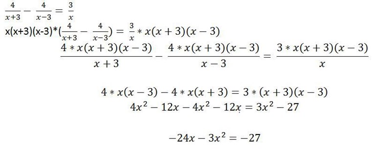
Lös ekvationen
Jag ska lösa denna ekvation, i vanliga fall så multiplicerar jag med mgn.
Vilken är den minsta gemensamma nämnaren i detta fall?
Är detta rätt väg att gå? Nämnarna blir ju inte likadana.
Mvh, Jonathan
Om det är den minsta gemensamma nämnaren vet vi inte, men detta fallet är det smart att förlänga båda led med . Vad får du om du gör det?
Det ser rätt ut. Lös ekvationen, och kontrollera rötterna. Klart!
Tack för hjälpen 😊
Varsågod! Välkommen hit!
