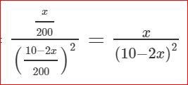
Lös ekvationen
Hej, jag försöker att lösa denna följande ekvationen men får felaktiga svar, jag skulle uppskatta om ni kunde hjälpa mig lite.
svaret ska dock tydligen bli x1=3 och x1= 1
Var har jag räknat fel??
Du har omvandalt (x-2)^2 fel.
Hoppas det hjälper.
Ett annat sätt att tänka är följande:
Dra roten ur båda sidor:
Fall 1:
o.s.v.
Fall 2:
o.s.v.
När du vet vilka lösningar som är rätt så kan du sätta in dem i dina ekvationer uppifrån och ner så ser du var det blir fel.
Tack så mycket båda två!
Jag får att då att x1=3 och x2=1
x2 är ett orimligt svar, men när jag sätter in x2 i ekvationen går det lika bra, alltså jag får samma svar som om jag sätter in x1, hur kommer det sig då att facit säger att x2 är ett orimligt svar?!
Hej!
Ekvationen är samma sak som ekvationen . Kan du se varför?
- Det finns två tal som ger resultatet när man kvadrerar dem: talet och talet .
Därför kan bara vara eller ; i det första fallet är och i det andra fallet är
mmaa skrev:Tack så mycket båda två!
Jag får att då att x1=3 och x2=1
x2 är ett orimligt svar, men när jag sätter in x2 i ekvationen går det lika bra, alltså jag får samma svar som om jag sätter in x1, hur kommer det sig då att facit säger att x2 är ett orimligt svar?!
Det låter konstigt. Antingen står det fel i facit eller så är det något med ursprungsuppgiften som gör att ena svaret är orimligt.
Kan du skriva av uppgiften ord för ord, eller ännu bättre, ladda upp en bild?

Ja, egentligen är detta en Kemi 2 uppgift men jag lade in på bilden på ”Matematik blocket” eftersom att jag skulle lösa en andragradsekvation... så hoppas ni är bra på Kemi 2 :D
mmaa skrev:
Ja, egentligen är detta en Kemi 2 uppgift men jag lade in på bilden på ”Matematik blocket” eftersom att jag skulle lösa en andragradsekvation... så hoppas ni är bra på Kemi 2 :D
OK.
Vad betecknar x och hur har du kommit fram till den ekvationen du angav i trådstarten?
Jag (som är kemilärare) kan inte förstå hur du har fått fram ekvationen från den här uppgiftstexten. Från början har du 10 mol . Om det bildas mol så finns det kvar mol . Uttrycket för jämviktskonstanten blir . Eftersom reaktionskärlet har volymen behöver vi räkna om substansmängderna till koncentrationer först. Koncentrationen av blir och koncentrationen av blir .
x betecknar molökningen.
K i denna uppgiften kallas för jämviktkonstanten. Här är K=1/4 eller 0,25.
K=1/4
Jag kommer att behöva sätta:
Det är på detta sätt jag kommit fram till ekvationen
Här kommer du fram till en helt annan ekvation (och dessutom räknat fel) än den du frågade om i trådstarten.
Gör en tråd om uppgiften i kemiforumet istället. Där kan vi hjälpa dig både att få fram rätt ekvation och att lösa den.
mmaa skrev:...
...
Det här steget stämmer inte:

Smaragdelna, hur kommer du fram till ekvationen som du lade upp? Det står ju då måste det stå upphöjt till 2 när vi beräknar s koncentration på följande sätt:
Jag kom då fram till ekvationen ser ut såhär:
Om detta är fel, lägger jag genast upp tråden i kemiforurmet
Nu stämmer det, och om du hade lagt din kemifråga i kemiforumet hade du kunnat få hjälp att komma fram till derra för länge sedan.
Om du löser den här ekvationen med pq-formeln och räknar rätt, bör du komma fram till rätt svar. Förmodligen har ekvationen två lösningar, men om den ena lösningen är negativ skulle detta betyda att det finns mer än de ursprungliga 10 mol och det är ju omöjligt.
om jag fortsätter på den ekv. blir det:
Har jag använt mig av pq formlen på fel sätt igen?
mmaa skrev:om jag fortsätter på den ekv. blir det:
Har jag använt mig av pq formlen på fel sätt igen?
Du har fått fel tecken på termen när du kvadrerade .
Använd kvadreringsregeln