4
svar
233
visningar
ogrelito behöver inte mer hjälp
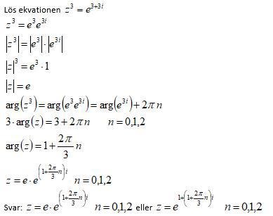
Lös ekvationen.
Hej!
Jag har fastnat på den här uppgiften.
Uppgiften lyder:
![]()
Jag gjorde så här:
Vilket är helt annorlunda till facit.
Facit visar:

Det är samma sak.
Du måste för övrigt ha parenteser för att ditt uttryck ska vara korrekt:
Tror du att detta skulle vara rätt om jag svarade så på en tenta?
Du har samma svar men skrivet på ett annat sätt
, n=0
, n=1
samma för n=2
Ahh okej!
Nu fattar jag!!
Tack så hemskt mycket för hjälpen Laguna, VoXx.