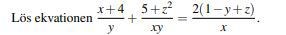
Lös ekvationen
(x+4)/y+(5+z^{2})/xy=(2(1−y+z))/x

Välkommen till Pluggakuten!
Den där ekvationen du har skrivit går inte att lösa - det är tre obekanta men bara en ekvation, så man kan bestämma vilket värde man vill att t ex x och y skall ha och räkna ut vilket z som gör att det stämmer.
Kan du skriva in HELA uppgiften, precis som den är skriven, eller ta ett foto och lägga in en bild av den?
Smaragdalena skrev:Välkommen till Pluggakuten!
Den där ekvationen du har skrivit går inte att lösa - det är tre obekanta men bara en ekvation, så man kan bestämma vilket värde man vill att t ex x och y skall ha och räkna ut vilket z som gör att det stämmer.
Kan du skriva in HELA uppgiften, precis som den är skriven, eller ta ett foto och lägga in en bild av den?
Lösningen finns och är (-2,1,1). Jag skulle vilja veta hur man får resultatet.
Varifrån kommer uppgiften? Lösningen du anger är inte unik.