2
svar
89
visningar
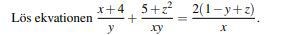
Lös ekvationen

Jag skulle rekommendera att föra över allt till en sida och sedan skriva på gemensamt bråkstreck. Kan du gå vidare därifrån?
parveln skrev:Jag skulle rekommendera att föra över allt till en sida och sedan skriva på gemensamt bråkstreck. Kan du gå vidare därifrån?
Jag har gjort det men jag har fortfarande en enda ekvation och tre okända.