5 svar
238 visningar
ingetmattesnille 49 – Fd. Medlem
Postad: 18 jan 2022 21:30

Lös ekvationen

Hej,

 

Nu väntar jag mig ännu en gång till er för hjälp, denna gång med en ekvation.

(x+3)^2 = -4x

Så långt jag kommer är:

x^2 + 6x + 9 = -4x

x^2 + 10x + 9 = 0 (+4x)

Ooooch där är jag fast...

Går det att använda sig av nollproduktsregeln i detta tal?

ItzErre 1575
Postad: 18 jan 2022 21:35

Tips: PQ

ingetmattesnille 49 – Fd. Medlem
Postad: 18 jan 2022 21:53
ItzErre skrev:

Tips: PQ

Okej jag tror du väckte en enorm nostalgivåg, den där formeln känner jag igen!

Skulle du vilja vara vänlig och se om jag tänker rätt nu när du lett mig på rätt väg?

x^2 + 10x + 9 = 0 med PQ-formeln blir

X = -10x / 2 +- Roten ur (10/2)^2 - 9

X = -5x +- Roten ur 16

X = -5x +- 4  (+5x)

4x = +-4 (/4)

X1 = +1

X2 = -1

Kan detta stämma ?

Aloosher 238
Postad: 18 jan 2022 21:56

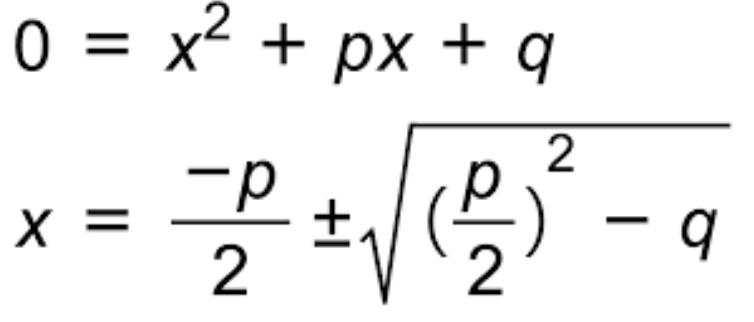
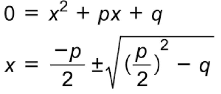
Nja, PQ-formeln ser ut såhär: 

P-värdet är endast koefficenten av x, dvs om det är 10x så är p = 10, inte 10. Testa att ta bort x'et med andra ord från din ekvation, såhär: 

X = -10 / 2 +- Roten ur (10/2)^2 - 9

ingetmattesnille 49 – Fd. Medlem
Postad: 18 jan 2022 22:03
Aloosher skrev:

Nja, PQ-formeln ser ut såhär: 

P-värdet är endast koefficenten av x, dvs om det är 10x så är p = 10, inte 10. Testa att ta bort x'et med andra ord från din ekvation, såhär: 

X = -10 / 2 +- Roten ur (10/2)^2 - 9

Tack för den!

Då får jag plötsligt:

X = -10 +- Roten ur 16

X = -10 +- 4

x1= -6

x2= -14

Ser det bättre ut?

Louis 3949
Postad: 18 jan 2022 22:28

Du har inte halverat inledande -10  (-p/2).
Fast det är -5 som du kvadrerat under rottecknet (p/2)2.

Svara
Close