7 svar
90 visningar
Hejsan266 behöver inte mer hjälp
Hejsan266 1361
Postad: 11 okt 2022 21:42

Lös ekvationen

Alltså, jag tror att jag kan det hela men kan någon bara rätta mig om jag har fel.3:orna i parentesen borde bli 3och sedan om man multiplicerar med 3 utanför parentesen borde det bli 32. Alltså, är x = 35-3=33.

Är min tankegång korrekt?

Fermatrix 7621 – Fd. Medlem
Postad: 11 okt 2022 21:54 Redigerad: 11 okt 2022 21:54

Det tog mig ett tag att förstå vad du menade men du menar så här.

Om du bryter ut en 3:a i parantesen så får 9(3x)=3359(3^x)=3^{35} och efter du dividerar bort 99 så fås 333=3x3^{33}=3^x och då jämför du exponenterna så att x=33x=33 och det stämmer perfekt. Om det är så du menar är din metod bra och det är precis så jag hade löst uppgiften.

Hejsan266 1361
Postad: 11 okt 2022 22:02
Dracaena skrev:

Det tog mig ett tag att förstå vad du menade men du menar så här.

Om du bryter ut en 3:a i parantesen så får 9(3x)=3359(3^x)=3^{35} och efter du dividerar bort 99 så fås 333=3x3^{33}=3^x och då jämför du exponenterna så att x=33x=33 och det stämmer perfekt. Om det är så du menar är din metod bra och det är precis så jag hade löst uppgiften.

Ja, jag tänkte ungefär så

3(31x)

32x

exponenterna 35-33=2

Jag tror dock inte man kan skriva uträkningen på detta sätt för nu blir det 2x istället för 2+x (vad jag egentligen menar) men det är hur jag har tänkt i alla fall.

Hejsan266 1361
Postad: 11 okt 2022 22:02
Hejsan266 skrev:
Dracaena skrev:

Det tog mig ett tag att förstå vad du menade men du menar så här.

Om du bryter ut en 3:a i parantesen så får 9(3x)=3359(3^x)=3^{35} och efter du dividerar bort 99 så fås 333=3x3^{33}=3^x och då jämför du exponenterna så att x=33x=33 och det stämmer perfekt. Om det är så du menar är din metod bra och det är precis så jag hade löst uppgiften.

Ja, jag tänkte ungefär så

3(31x)

32x

exponenterna 35-33=2

Jag tror dock inte man kan skriva uträkningen på detta sätt för nu blir det 2x istället för 2+x (vad jag egentligen menar) men det är hur jag har tänkt i alla fall.

/ exponenterna 35-2 = 33

Fermatrix 7621 – Fd. Medlem
Postad: 11 okt 2022 22:06

Ja, jag tänkte ungefär så

3(31x)

32x

exponenterna 35-33=2

Jag tror dock inte man kan skriva uträkningen på detta sätt för nu blir det 2x istället för 2+x (vad jag egentligen menar) men det är hur jag har tänkt i alla fall.

Nej, detta stämmer inte.

9·3x=32·3x=3x+29 \cdot 3^x=3^2 \cdot 3^x = 3^{x+2}

Precis som du sa i slutet at inlägg #3. Om du gör på det viste så får man så klart:

x+2=35x+2=35

Hejsan266 1361
Postad: 11 okt 2022 22:29
Dracaena skrev:

Ja, jag tänkte ungefär så

3(31x)

32x

exponenterna 35-33=2

Jag tror dock inte man kan skriva uträkningen på detta sätt för nu blir det 2x istället för 2+x (vad jag egentligen menar) men det är hur jag har tänkt i alla fall.

Nej, detta stämmer inte.

9·3x=32·3x=3x+29 \cdot 3^x=3^2 \cdot 3^x = 3^{x+2}

Precis som du sa i slutet at inlägg #3. Om du gör på det viste så får man så klart:

x+2=35x+2=35

Har jag inte nästan gjort samma sak som dig? För jag fick ju också det till 9, dock var sättet jag skrev det på möjligtvis felaktigt.

Fermatrix 7621 – Fd. Medlem
Postad: 11 okt 2022 23:12

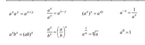
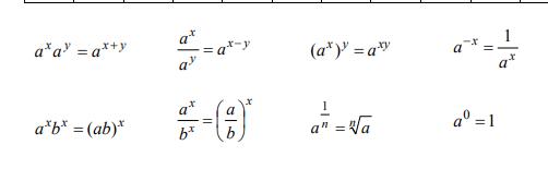
Vi har räknat på samma sätt, skillnaden är bara att du skriver fel men tänker rätt. Kika gärna på potenslagarna.

Vi vill nyttja den absolut första.

Hejsan266 1361
Postad: 11 okt 2022 23:18
Dracaena skrev:

Vi har räknat på samma sätt, skillnaden är bara att du skriver fel men tänker rätt. Kika gärna på potenslagarna.

Vi vill nyttja den absolut första.

Ah tack, tänkte också att det såg fel ut men visste inte hur jag annars skulle ha skrivit det så…

Svara
Close