2
svar
75
visningar
karisma behöver inte mer hjälp
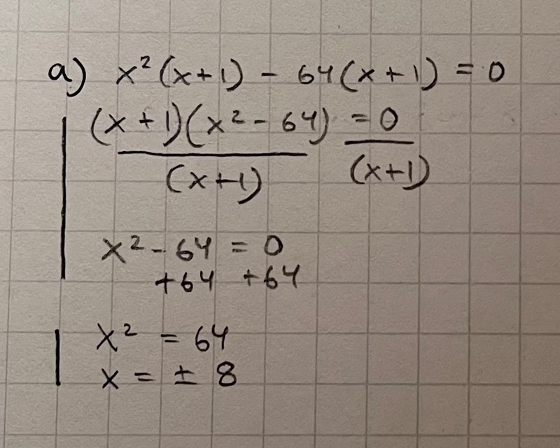
Lös ekvationen
Hej!
Jag har löst denna uppgift som du kan se nedan. Jag har delvis kommit fram till rätt svar vilket är att x1 = 8 och x2 = -8, men i facit står det sedan att x även är -1. Vart får dem det ifrån? Vad är det jag har missat som gör att jag inte kommer fram till det?
Tack på förhand!

Du kan i ursprungsekvationen bryta ut (x+1) så att ekvationen blir:
(x+1)(x2-64) = 0
(x+1)(x+8)(x-8) = 0 (konjugatregeln)
Här ser du de tre rötterna -1, -8 och 8.
När du dividerade bort (x+1) försvann lösningen x=-1.
Nu ser jag det! Tack för hjälpen!