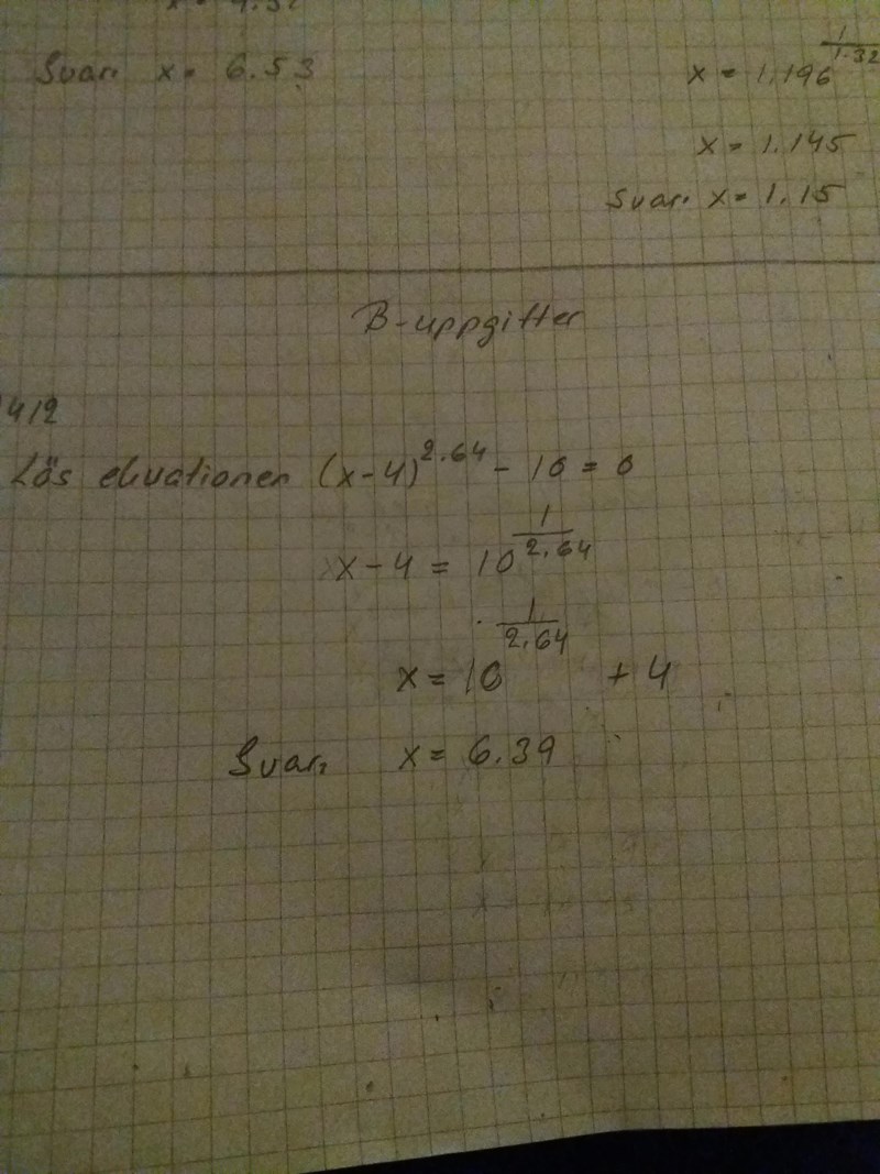
lös ekvationen
Behöver mera förklaring. Ska jag upphöja allting eftersom det finns parentes.
Det står parentes. Jag fick inte hela ordet parentes.,
Har du någon idé om hur du kan använda följande potensregel:
?
Vad jag förstår, så är detta väg till logaritmer.
Är jag lite osäker på det nu. Det som jag blev fundersam på, det var parentesen där.
Jag är osäker på det här.
Hej Päivi.
Det är ingen principiell skillnad på denna ekvation och en ekvation av typen
(x - 4)^2 - 7 = 0
(x - 4)^2 = 7
Upphöj båda sidorna till 1/2 (dvs dra "kvadratroten ur"):
((x - 4)^2)^(1/2) = plusminus 7^(1/2)
Potenslag (a^b)^c = a^(b*c) i VL:
(x - 4)^(2*1/2) = plusminus 7^(1/2)
2*1/2 = 1 i exponenten i VL:
(x - 4) = plusminus 7^(1/2)
----------
Det du alltså ska göra med din ekvation är att först addera 10 till båda sidor, sedan upphöja båda sidorna till 1/2,64 och sedan förenkla.
En nästan likadan ekvation är
Kan du lösa den?
Ja, det kan jag. Bubo!
Då vet du ju vad x-4 är, eller hur?
Päivi skrev :
Nej så kan du inte göra. Det är hela parentesen som är upphöjd till 2,64, inte bara x.
y ^ 2,64-10= 0
y^2,64=10
y= 10^(1/2.64)
y= 2.392
Jag ska skriva formeleditorn och ställa fråga, kan man göra så här.
Jag är osäker på området.
Päivi skrev :y ^ 2,64-10= 0
y^2,64=10
y= 10^(1/2.64)
y= 2.392
Bra.
Om du nu byter ut (substituerar) y mot (x - 4) så har du nästan lösningen klar.
Päivi skrev :y ^ 2,64-10= 0
y^2,64=10
y= 10^(1/2.64)
y= 2.392
Javisst.
Man räknar EXAKT LIKADANT oavsett om man kallar det okända för y eller z eller s eller t^3-sin(t) eller vad som helst:
-----------
(z) ^ 2,64-10= 0
(z)^2,64=10
(z)= 10^(1/2.64)
(z)= 2.392
-----------
(s) ^ 2,64-10= 0
(s)^2,64=10
(s)= 10^(1/2.64)
(s)= 2.392
-----------
(t^3-sin(t)) ^ 2,64-10= 0
(t^3-sin(t)^2,64=10
(t^3-sin(t))= 10^(1/2.64)
(t^3-sin(t))= 2.392
------------------------
(x-4) ^ 2,64-10= 0
(x-4)^2,64=10
(x-4)= 10^(1/2.64)
(x-4)= 2.392
Yngve skrev :
Päivi skrev :
y ^ 2,64-10= 0
y^2,64=10
y= 10^(1/2.64)
y= 2.392
Bra.
Om du nu byter ut (substituerar) y mot (x - 4) så har du nästan lösningen klar.
Det är bara tillsätta x= 2,392 +4
x = 6. 392
Päivi skrev :
NEJ!
Behandla hela parentesen som en helhet.
Du skulle väl aldrig skriva ?
Bubo skrev :Päivi skrev :NEJ!
Behandla hela parentesen som en helhet.
Du skulle väl aldrig skriva ?
(a-b)(a-b), men det här handlar om 2,64
Yngve skrev :Hej Päivi.
Det är ingen principiell skillnad på denna ekvation och en ekvation av typen
(x - 4)^2 - 7 = 0
(x - 4)^2 = 7
Upphöj båda sidorna till 1/2 (dvs dra "kvadratroten ur"):
((x - 4)^2)^(1/2) = plusminus 7^(1/2)
Potenslag (a^b)^c = a^(b*c) i VL:
(x - 4)^(2*1/2) = plusminus 7^(1/2)
2*1/2 = 1 i exponenten i VL:
(x - 4) = plusminus 7^(1/2)
----------
Det du alltså ska göra med din ekvation är att först addera 10 till båda sidor, sedan upphöja båda sidorna till 1/2,64 och sedan förenkla.
Tänker du på typ kvadrat komplettering nu Yngve?
Tänkte visa, hur jag tänker. Det blir samma resultat.
Päivi skrev :Tänkte visa, hur jag tänker. Det blir samma resultat.
Rätt! Bra!
Ser du skillnaden från dina tidigare svar?
Jag plockade bort parentesen.
Päivi skrev :Jag plockade bort parentesen.
Päivi skrev :Päivi skrev :Jag plockade bort parentesen.
Liten skillnad ser jag, Bubo