Lös ekvationen
VArför blir detta MA ERROR på räknaren, har jag löst den fel?
kan man inte ta ln av negativt tal?
Nej, vad skulle man upphöja e till för att få det negativt?
nä,men varför blir det resultatet Ma error på räknaren?
Det är väl en fråga för konstruktören men det borde bli samma resultat som om du tar roten ur minus ett och räknaren inte hanterar komplexa tal
ser bra ut

Men sedan ska man ta ln på båda sidor. Då får man flytta ner exponenten, så den kommer framför ln.
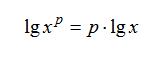
Enligt logaritmlagen:
@sten, har har väl gjort så? Dvs jag har väl tagit ln på båda sidor i den ekvationen, eller missar jag ett steg?
I b), gör på samma sätt och ta ln på varje sida. Då får man:
Det är bara täljaren som innehåller ln, så man tar ln av ett positivt tal. Man får inte ta ln av ett negativt tal.
TAck, då skulle jag få rätt när jag har skrivit som jag har gjort antar jag, eller?
Svaret med ett närmevärde ska bli 1,6 men jag får 1,59. Jag slår först ln 0,45 och dividerar svaret med -0,5 och får fel. Men då har jag i alla fall gjort rätt i själva uppställningen.
Trollmoder skrev:TAck, då skulle jag få rätt när jag har skrivit som jag har gjort antar jag, eller?
Svaret med ett närmevärde ska bli 1,6 men jag får 1,59. Jag slår först ln 0,45 och dividerar svaret med -0,5 och får fel. Men då har jag i alla fall gjort rätt i själva uppställningen.
sorry, jag är lite trött, glöm mitt förra inlägg...jösses, paus behövs
Svaret anges med en decimal, och du anger två decimaler, men beräkningen verkar rätt.
Jag gissar att svaret anges med två värdesiffror, eftersom 0,45 har två värdesiffror.
I a) blir svaret rätt. Men jag är inte med på vägen dit. Föreslår dessa steg:

Sten skrev:I a) blir svaret rätt. Men jag är inte med på vägen dit. Föreslår dessa steg:
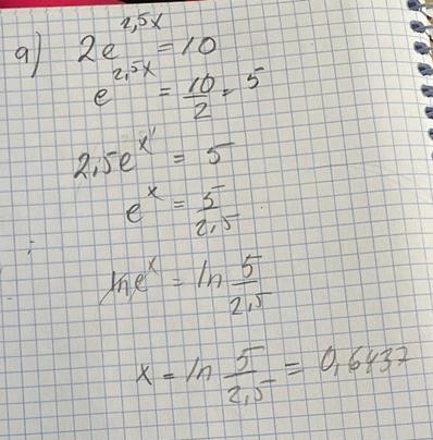
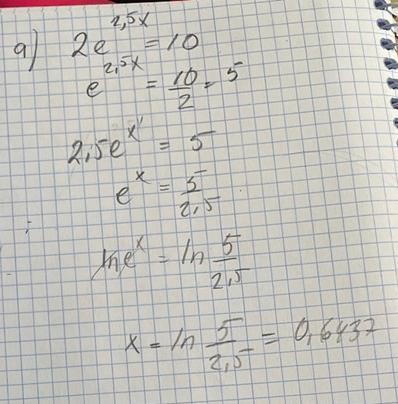
Det är väl så jag gör, eller? Bara med det tillägget att jag lägger ln vid e så det "tar ut varandra", se rad 5.
Nej, det är inte så du gör.
Det här steget är inte rätt:

I vänsterledet går du från e2,5x till 2,5ex (dvs du "flyttar ner" 2,5 från exponenten) men du behåller samma högerled.
Problemet är att e2,5x inte är samma sak som 2,5ex.
Pröva själv med t.ex. x = 0 så ser du att de båda uttrycken skiljer sig åt.
Gör istället precis så som Sten föreslår i svar #11.
Ok, tack för input Yngve. Jag har förstått...hoppas jag
